- 探究鎖相環的組成和工作原理
- 鎖相環在調制和解調中的應用
- 鎖相環在調頻和解調電路中的應用
1.鎖相環的基本組成
許多電子設備要正常工作,通常需要外部的輸入信號與內部的振蕩信號同步,利用鎖相環路就可以實現這個目的。
鎖相環路是一種反饋控制電路,簡稱鎖相環(PLL)。鎖相環的特點是:利用外部輸入的參考信號控制環路內部振蕩信號的頻率和相位。
因鎖相環可以實現輸出信號頻率對輸入信號頻率的自動跟蹤,所以鎖相環通常用于閉環跟蹤電路。鎖相環在工作的過程中,當輸出信號的頻率與輸入信號的頻率相等時,輸出電壓與輸入電壓保持固定的相位差值,即輸出電壓與輸入電壓的相位被鎖住,這就是鎖相環名稱的由來。
鎖相環通常由鑒相器(PD)、環路濾波器(LF)和壓控振蕩器(VCO)三部分組成,鎖相環組成的原理框圖如圖8-4-1所示。鎖相環中的鑒相器又稱為相位比較器,它的作用是檢測輸入信號和輸出信號的相位差,并將檢測出的相位差信號轉換成uD(t)電壓信號輸出,該信號經低通濾波器濾波后形成壓控振蕩器的控制電壓uC(t),對振蕩器輸出信號的頻率實施控制。


2.鎖相環的工作原理
鎖相環中的鑒相器通常由模擬乘法器組成,利用模擬乘法器組成的鑒相器電路如圖8-4-2所示。
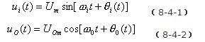
鑒相器的工作原理是:設外界輸入的信號電壓和壓控振蕩器輸出的信號電壓分別為:

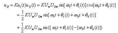
式中的ω0為壓控振蕩器在輸入控制電壓為零或為直流電壓時的振蕩角頻率,稱為電路的固有振蕩角頻率。則模擬乘法器的輸出電壓uD為:
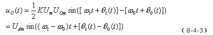
用低通濾波器LF將上式中的和頻分量濾掉,剩下的差頻分量作為壓控振蕩器的輸入控制電壓uC(t)。即uC(t)為:

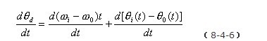
式中的ωi為輸入信號的瞬時振蕩角頻率,θi(t)和θO(t)分別為輸入信號和輸出信號的瞬時位相,根據相量的關系可得瞬時頻率和瞬時位相的關系為:

[page]
因壓控振蕩器的壓控特性如圖8-4-3所示,該特性說明壓控振蕩器的振蕩頻率ωu以ω0為中心,隨輸入信號電壓uc(t)的變化而變化。該特性的表達式
上式說明當uc(t)隨時間而變時,壓控振蕩器的振蕩頻率ωu也隨時間而變,鎖相環進入“頻率牽引”,自動跟蹤捕捉輸入信號的頻率,使鎖相環進入鎖定的狀態,并保持ω0=ωi的狀態不變。
8.4.2鎖相環的應用
1.鎖相環在調制和解調中的應用
(1)調制和解調的概念
為了實現信息的遠距離傳輸,在發信端通常采用調制的方法對信號進行調制,收信端接收到信號后必須進行解調才能恢復原信號。
所謂的調制就是用攜帶信息的輸入信號ui來控制載波信號uC的參數,使載波信號的某一個參數隨輸入信號的變化而變化。載波信號的參數有幅度、頻率和位相,所以,調制有調幅(AM)、調頻(FM)和調相(PM)三種。
調幅波的特點是頻率與載波信號的頻率相等,幅度隨輸入信號幅度的變化而變化;調頻波的特點是幅度與載波信號的幅度相等,頻率隨輸入信號幅度的變化而變化;調相波的特點是幅度與載波信號的幅度相等,相位隨輸入信號幅度的變化而變化。調幅波和調頻波的示意圖如圖8-4-4所示。


解調是調制的逆過程,它可將調制波uO還原成原信號ui。

2.鎖相環在調頻和解調電路中的應用
調頻波的特點是頻率隨調制信號幅度的變化而變化。由8-4-6式可知,壓控振蕩器的振蕩頻率取決于輸入電壓的幅度。當載波信號的頻率與鎖相環的固有振蕩頻率ω0相等時,壓控振蕩器輸出信號的頻率將保持ω0不變。若壓控振蕩器的輸入信號除了有鎖相環低通濾波器輸出的信號uc外,還有調制信號ui,則壓控振蕩器輸出信號的頻率就是以ω0為中心,隨調制信號幅度的變化而變化的調頻波信號。由此可得調頻電路可利用鎖相環來組成,由鎖相環組成的調頻電路組成框圖如圖8-4-5所示。


在現代電子技術中,為了得到高精度的振蕩頻率,通常采用石英晶體振蕩器。但石英晶體振蕩器的頻率不容易改變,利用鎖相環、倍頻、分頻等頻率合成技術,可以獲得多頻率、高穩定的振蕩信號輸出。




