【導讀】長期以來,MP3播放器、個人媒體播放器、數碼相機以及其他便攜式消費類應用的設計人員面臨的一項挑戰是實現產品的高性能和低功耗。這些電池供電系統通常都使用嵌入式數字信號處理器(DSP),當系統處理多媒體應用任務時,DSP能達到最大處理能力,而當系統處于睡眠模式時,DSP具有最小的功耗。電池壽命在手持式產品中是非常重要的指標,產品成功與否與供電系統的效率直接相關。
此類系統中的一個關鍵部件是降壓式DC-DC開關穩壓器,它能夠高效地從較高電壓獲得較低的供電電壓,如從4.5 V獲得1V的供電電壓。作為穩壓器,其必須保持恒定的電壓,而且能夠對輸入電壓的變化以及負載電流的變化迅速做出響應。本文將討論的架構具有優良的穩壓性能以及高效率和快速響應的優點。
開關穩壓器剖析
圖1示出了ADI公司ADP2102的典型應用電路,這是一款低占空比、3 MHz同步整流降壓轉換器。ADP2102具有固定輸出電壓和可調輸出電壓的多種配置。這里將ADP2102連接成固定輸出電壓配置,由5.5 V的輸入電壓產生300mA、0.8 V輸出電壓。接下來給出輸出電壓可調的應用示例。

圖1. 使用ADP2102由5.5 V輸入產生0.8 V輸出
這里將簡單地解釋該電路的工作原理:將DC輸出電壓的分壓與誤差放大器中的內部參考源比較,然后將誤差放大器的輸出與電流采樣放大器的輸出比較,以驅動單穩態觸發器。單穩態觸發器在由VOUT/VIN確定的時間周期內處于暫穩態。單穩態觸發器使上面的門控晶體管導通,電感L1中的電流逐漸變大。當單穩態觸發器的暫穩態結束時,晶體管截止,電感L1中的電流逐漸變小。在由最小關斷時間定時器和最小(“谷值”)電流確定的時間間隔之后,單穩態觸發器再次被觸發。芯片內的單穩態觸發定時器使用輸入電壓前饋,使得穩態時保持恒定的頻率。
該振蕩以不確定的頻率(大約為3MHz)持續進行,但是在必要的情況下可以響應線路和負載的瞬態變化而偏離該頻率,以便輸出電壓保持恒定,并且使電感電流的平均值保持在輸出負載所需要的電流值。
上文描述的方法是相對新穎的。多年來,DC-DC變換的主要方法是恒頻峰值電流方法,當該方法在降壓式DC-DC轉換器中實現時,其還被稱為后沿調制。有關該方法的詳細描述、對其優缺點的評估以及上文描述的恒定導通時間谷值電流模式轉換器,請參考其他技術文章。
ADP2012還具有欠壓閉鎖功能、軟啟動功能、過熱保護功能和短路保護功能,并且具有±1%的反饋精度。該架構能夠使主開關的導通時間低至60 ns或更低。
圖2示出了不同條件下的典型波形。圖2a示出了在ILOAD=600mA,電壓從VIN=5.5V減小到VOUT=0.8V時的低占空比。如圖中所示,在3MHz的開關頻率下,可以獲得45 ns的最小導通時間。
圖2b示出了負載電流突增300mA時,負載電流和電感電流波形。
圖2c示出了負載電流突減300mA時,負載電流和電感電流波形。
圖2d示出了在占空比為50%時不存在次諧波振蕩,而使用峰值電流模式控制時必須在設計時加以考慮。當占空比大于或小于50%時,同樣不存在次諧波振蕩。

圖 2a.VIN= 5.5 V, VOUT= 0.8 V, 最小導通時間=45 ns

圖 2b. 突加負載瞬態響應(ILOAD= 300 mA)

圖2c. 突減負載瞬態響應 (ILOAD= 300 mA)

圖2d. 占空比 = 50%, VIN= 3.3 V, VOUT= 1.8 V, ILOAD= 300 mA
DSP應用中的動態電壓調節
在使用DSP的便攜式應用中,通常由開關轉換器提供DSP的內核電壓和I/O電壓,這需要使用電池供電應用的高效率DC-DC轉換器。提供內核電壓的穩壓器必須能夠基于處理器的時鐘速度動態改變電壓或者按照軟件的指令動態改變電壓。另外,整體解決方案的小尺寸也同樣重要。
這里描述的是,在電池供電的應用中將Blackfin®處理器的內部穩壓器更換為外部高效率穩壓器,以提高系統供電效率。而且,這里還介紹了用于外部穩壓器的控制軟件。
動態電源管理
處理器的功耗與工作電壓(VCORE)的平方成正比,并且與工作頻率(FSW)成正比。因此,降低頻率能夠使動態功耗線性下降,而降低內核電壓可以使動態功耗指數下降。
在對功耗敏感的應用中,當DSP僅簡單地監視系統活動或者等待外部觸發信號時,在保持供電電壓不變的情況下改變時鐘頻率,這對降低功耗是非常有用的。然而,在高性能電池供電的應用中,僅改變頻率并不能顯著節約電能。Blackfin處理器以及其他的具有高級電源管理功能的DSP可以依次改變內核電壓和頻率,由此可以在任何情況下均實現最優的電池利用。
ADSP-BF53x系列Blackfin處理器中的動態電壓的穩壓通常是由內部電壓控制器和外部MOSFET實現的。該方法的優點在于,可以將單電壓(VDDEXT)施加到DSP子系統,從MOSFET得到的所需的內核電壓(VDDINT)。通過內部寄存器可以軟件控制內核電壓,以便于控制MIPS,并且最終控制能耗,由此實現最優的電池壽命。
為了完整地實現Blackfin內部穩壓方案,需要一個外部MOSFET、肖特基二極管、大電感和多個輸出電容器,該解決方案價格相對昂貴,效率卻很差,而且占用的PCB板面積是相對較大的,這給系統設計人員帶來了很大的矛盾,在集成穩壓器中需要使用大電感和電容器,不利于消費者所希望的便攜式設備盡可能小型化。該集成穩壓控制器的效率是相對較低,通常僅為50%~70%,因此該方法不太適用于高性能手持式電池供電應用。
外部穩壓
通過新型DC-DC開關轉換器設計方法,可以將Blackfin集成方法本身的效率提高到90%或更高。而且,在使用外部穩壓器時可以減小外部元件的尺寸。
還可以使用多種動態電壓調整(DVS)控制方案,包括開關電阻器(其在某些情況中可由DAC實現)和脈寬調制(PWM)(其可以實現與內部方法相同的精度)。不論使用哪種方案,其必須能夠通過軟件控制改變穩壓電平。上述穩壓控制方法在內部穩壓器是集成的,而在外部穩壓中必須通過外加器件來實現。
本文描述了兩種使用ADP2102同步DC-DC轉換器調節DSP內核電壓的方法,當處理器在低時鐘速度下運行時,可動態地將內核電壓從1.2 V調節到1.0V。
ADP2102高速同步開關轉換器在由2.7V~5.5V的電池電壓供電時,可以使內核電壓低到0.8 V。其恒定導通時間的電流模式控制以及3MHz開關頻率提供了優良的動態響應、非常高的效率和出色的源調整率和負載調整率。較高的開關頻率允許系統使用超小型多層電感和陶瓷電容器。ADP2102采用3 mm×3 mm LFCSP封裝,節約了空間,僅需要三或四個外部元件。而且ADP2102包括完善的功能,諸如各種安全特征,如欠壓閉鎖、短路保護和過熱保護。
圖3示出了實現DVS的電路。ADSP-BF533 EZ-KIT Lite®評估板上的3.3 V電源為降壓轉換器ADP2102供電,使用外部電阻分壓器R1和R2將ADP2102的輸出電壓設定為1.2 V。DSP的GPIO引腳用于選擇所需的內核電壓。改變反饋電阻值可以在1.2 V~1.0 V的范圍內調節內核電壓。通過與R2并聯的電阻R3,N溝MOSFET可以修改分壓器。相比于R3,IRLML2402的RDSon較小,僅為0.25 Ω。3.3 V的GPIO電壓用于驅動MOSFET的柵極。為了獲得更好的瞬態性能并改善負載調整率,需要加入前饋電容器CFF。

圖3. 使用外部MOSFET和Blackfin PWM控制進行ADP2102的動態電壓調整
對于雙電平開關,一般的應用要求是:
DSP內核電壓 (VOUT1) = 1.2 VDSP內核電壓 (VOUT2) = 1.0 V輸入電壓 = 3.3 V輸出電流 = 300 mA
使用高阻值的分壓電阻可將功率損失降到最低。前饋電容在開關過程中降低柵漏電容的影響。通過使用較小的反饋電阻和較大的前饋電容可以使該暫態過程中引起的過沖或下沖最小,但這是以額外的功耗為代價的。
圖4示出了輸出電流IOUT、輸出電壓VOUT和控制電壓VSEL。VSEL為低電平時,輸出電壓為1.0 V,VSEL為高電平時,輸出電壓為1.2 V。

圖4. 通過MOSFET調節下面的反饋電阻器
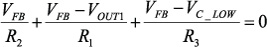
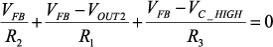
一種較簡單的方法可生成用于DVS的兩個不同的電壓,其使用控制電壓VC通過另外的電阻將電流注入到反饋網絡中。調節控制電壓的占空比可以改變其平均DC電平。因此使用一個控制電壓和電阻可以調節輸出電壓。下面的公式用于計算電阻R2、R3的值以及控制電壓幅度電平VC_LOW和VC_HIGH.
對于VOUT1= 1.2 V,VOUT2= 1.0 V,VFB= 0.8 V,VC_LOW= 3.3 V,VC_HIGH =0 V, 和R1= 49.9 kohm,R2andR3可以如下計算
該方法產生了更加平滑的變換。不同于MOSFET開關方法,能夠驅動電阻負載的任何控制電壓均可用于該方案,而MOSFET開關方法僅能夠用于驅動電容負載的控制信號源。該方法可以適用于任何輸出電壓組合和輸出負載電流。因此,根據需要調整內核電壓,便可以降低DSP的功耗。圖5示出了使用該電流注入方法的兩個輸出電壓之間的變換。

圖5. 使用控制電壓 VC進行ADP2102的動態電壓調整

圖6. 通過控制電壓調節下面的反饋電阻器
推薦閱讀:



