【導讀】功率半導體開關通常在用于電路設計時,能夠在不增加開關損耗的情況下減小電流傳導期間的損耗,這是其一大優勢。在各種電路保護應用中,器件需要連續傳送電流,較低的傳導態損耗有利于使系統保持較高的效率,并將產生的廢熱降至最低。如果在這些應用中需要放心地使用這些功率開關,必須滿足各種類型的耐用性標準。
在本文中,我們將討論最先進的低阻抗功率半導體開關,介紹其關鍵特性和應用優勢。這些開是由UnitedSiC開發,采用堆疊式共源共柵(cascode)技術,其中將一個特殊設計,阻抗低于1mΩ的硅低壓MOSFET堆疊在一個阻抗低于10mΩ的650~1200V常開型碳化硅(SiC) JFET之上。所形成的復合器件被稱為SiC FET,可以像標準硅器件一樣進行驅動,但是與硅IGBT、硅MOSFET和SiC MOSFET相比,具有許多優勢。

什么是堆疊式共源共柵?
與包括SiC MOSFET、硅MOSFET和GaN HEMT在內的其他可用功率晶體管相比,常開型SiC JFET的單位芯片面積具有更低的導通阻抗。如圖1a所示,當低壓MOSFET堆疊在JFET上時,為了實現圖1b的共源共柵架構,就形成了低阻抗常關斷型開關,稱為堆疊式共源共柵,其阻抗是低壓MOSFET和SiC JFET阻抗之和,根據所選擇的MOSFET和JFET的不同,其阻抗可能比JFET阻抗高5~20%。
圖2顯示了8.6mΩ,1200V堆疊芯片UF3SC12009Z的尺寸。由于在組裝之前將低壓MOSFET預堆疊在JFET上,因此該復合器件與標準組裝管芯連接和引線鍵合設備兼容。而且,很有意義的是,該器件適合用于電源模塊,并且還可通過TO247-4L封裝提供(器件名稱UF3SC12009K4S)。

表1列出了UnitedSiC最近推出的低RDS(ON)系列SiC FET的具體參數。請注意,在TO247封裝中,兩個阻抗最低器件的額定電流為鍵合線和引線限制。

導通狀態和熱特性
雖然產品數據手冊可以提供器件特性的詳細信息,但這里值得查看其中一些關鍵功能。器件的柵極具有保護ESD二極管,其在±26V時擊穿。
硅MOSFET的額定電壓為±20V,Vth為5V,并且沒有傳統SiC MOSFET通常遇到的磁滯或不穩定性。它可以采用與現有SiC MOSFET、Si MOSFET或IGBT兼容的柵極電壓驅動。負柵極偏壓的使用沒有限制,盡管給定5V Vth,但大多數應用仍可通過簡單的0~12V柵極驅動來完成。
SiC FET RDS(ON)具有正溫度系數,如表1和圖3a所示,考慮到許多應用需要將SiC FET器件并聯使用,該特性非常有用。
圖3a表明650V UF3SC065007K4S的RDS(ON)升高遠低于硅超結MOSFET。顯然,在125~150℃時的傳導損耗甚至比可用的最佳超結硅MOSFET低2.5倍至4倍。如果將1200V器件與SiC MOSFET進行比較,在125-150℃時它們RDS(ON)隨溫度的升高速率相差不大,具有相似的RDS(ON)(25℃)。從圖3(右側圖)還可以清楚地看出,UF3SC120009K4S在所有溫度下都呈現出在TO-247中具備最低的RDS(ON)FET,而且優勢很大。
SiC FET導通狀態下的第三象限特性優于SiC MOSFET,這是由于在JFET RDS(ON)串聯時,其壓降相當于0.7V的硅結壓降。典型的第三象限特性如下述圖3b所示。

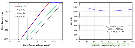
低VF也伴隨有出色的低QRR值(例如UF3SC120009K4S為1200-1300nC,UF3SC065007K4S為850nC)。
低RDS(ON)系列器件均采用燒結銀技術來提供最佳的熱性能,如表1(最大RTHJC柱)所示。此外,這有助于使MOSFET和SiC JFET都很薄,并且SiC的導熱率(3.7W / cm-K)與銅(3.85W/cm-K)相當。這些器件的TJMAX額定值為175℃,但由于MOSFET VTH保持在3V以上,并且其泄漏很低(如圖2特性所示),因而它們可以在TJ> 200℃時正常工作,而不會出現熱失控情況。
開關特性
表1顯示了SiC FET數據手冊中的低開關損耗。EON和EOFF幾乎與溫度無關,并且都很低。 EON通常大于EOFF,這在大多數寬帶隙(WBG)器件中都是如此。因此,這些器件在硬開關和軟開關電路中都很有用,特別是非常適用于電動汽車逆變器。
從圖4a中的半橋開關波形可以看出,SiC FET的體二極管恢復特性非常出色。

這里使用了一個小的RC緩沖器,以減少關斷電壓過沖,當通過單個TO247-4L器件驅動100A電流時這是必需的。低電壓MOSFET的貢獻約為100nC,主要來自其COSS,觀察到的其余QRR來自SiC JFET輸出電容的QOSS。由于LV MOSFET的存儲電荷很少,測量的QRR隨溫度變化很小(圖3b),觀察到的大多數QRR與器件電容充電有關。在650V時,UF3SC065007K4S的該值為850nC,這是其優于任何超結MOSFET的關鍵優勢所在。超級結MOSFET的QRR要高出10~50倍,并且在硬恢復下具有dV/dt限制。
由于20~50V/ns的正常開關dV/dt對于某些逆變器應用而言可能過快,因此圖4b顯示了用于在導通和關斷期間實現低dV/dt幾種技術中的一種(90%/10% dV/dt_導通=5.7V/ns, dV/dt_關斷=4.1V/ns)。僅使用RG值來實現這些低dV/dt會導致過長的延遲時間,因此,除了RG之外,還可以使用外部CGD電容器來達到目標dV/dt。

雪崩和短路特性
圖5顯示了UF3SC120009K4S在兩種情況下的典型雪崩特性。在低電流、高電感狀態下,這些器件可以處理>5.5J,額定值為550mJ。有趣的是,在較短的電感尖峰下,UF3SC120009K4S的峰值雪崩電流處理能力超過200A,這是SiC FET獨特的工作方式所致,其中JFET從自偏置狀態進入工作模式,能夠安全地吸收雪崩電流。

圖6顯示了典型的短路測試波形。峰值短路電流為1200A,并且由于JFET決定了該峰值短路電流,電流會由于JFET的自發熱而迅速下降。SiC FET在重復性短路時不會降低性能,這是源自SiC JFET固有的牢固性。在這種短路事件期間,低電壓MOSFET上的電熱應力可以忽略不計。

SiC FET的并聯工作特性
圖7顯示了并聯時SiC FET的典型特性。由于RDS(ON)的正溫度系數,導通狀態電流會達到一定平衡。開關期間電流平衡的主要原因是由于開關特性實際上是由SiC JFET而不是低電壓MOSFET控制。由于SiC JFET的VTH不會隨溫度而降低,因此不會招致由于VTH不平衡而導致一個開關導通更快而關斷更慢。這也有助于使體二極管針對大部分工作電流具有正溫度系數,而對QRR則具有很小的溫度依賴性,或根本沒有。重要的是要注意,與所有開爾文源器件一樣,在每個柵極返回路徑中增加一個阻抗也很重要。

應用案例:電動汽車逆變器中的低RDS(ON)SiC FET
鑒于低RDS(ON)SiC FET這些理想的特性,電動汽車逆變器是非常適合于這些低RDS(ON)開關的一個應用。雖然電源模塊通常是電動汽車逆變器模塊的首選,但這些器件有助于實現構建相當低成本的電動汽車逆變器。表2顯示了電動汽車逆變器采用UF3SC120009K4S估算的損耗與基于最先進IGBT模塊解決方案的對比。每個開關使用6個并聯單元構成的解決方案在200KW輸出時可以將工作損耗降低3倍,這對于增大車輛續航里程、擴展電池容量和減輕逆變器的冷卻負擔都非常有利。另外,這些開關可用于提高開關頻率,有助于減輕逆變器的電流紋波,并提高電機效率和壽命,使得這些開關成為高轉速電機逆變器的絕佳選擇。
應用案例:電動汽車快速充電器
針對350KW的電動汽車快速充電器,必須向400V電池提供875A的電流,或向800V的電池提供一半的電流。典型的充電器電路可能需要在高頻變壓器的次級線圈上使用SiC二極管,以整流傳遞到電池的電壓。將SiC FET用作同步整流器可以將損耗降低至少2倍,圖8顯示了UF3SC065007K4S與100A SiC JBS二極管的傳導特性比較。如果大功率模塊中的每個器件都以100A電流(例如50%的占空比)使用,則二極管在125℃時會下降2V,損耗為100W,而SiC FET在125℃時可能會只有0.9V的電壓降低,導致每個FET僅損耗45W,相當于改進了2倍。

鑒于這些器件具有出色的傳導和開關損耗,能夠在標準的主動前端(PFC級)和DC-DC(相移全橋/ LLC)初級提供峰值效率,用戶可以減少并聯開關的數量,簡化組裝,甚至可以將單個充電器的功率從15KW提升到30-50KW。UF3SC065007K4S可以允許用戶借助分立器件將Vienna整流器推到新的功率水平,或者1200V器件可以提供一個同樣高效的簡化兩電平架構路徑。
應用案例:光伏逆變器、焊接和UPS電路
這些器件具備傳導損耗和開關損耗的完美結合,可以非常有效地用于高性能兩電平、NPC和TNPC電路,以最大限度地提高逆變器效率,并突破采用分立器件可處理的功率水平極限。SiC FET柵極驅動器的簡捷性是控制成本的另一個重要因素。
圖9比較了在總線電壓為800V,頻率為12.5kHz、25kHz和50kHz的60KVA逆變器中由于半導體功率損耗而導致的效率估算。兩電平解決方案每個開關位置使用一個UF3SC120009K4S,因此僅需要6個晶體管和柵極驅動器。TNPC每相使用兩個UF3SC120009K4S和兩個 UF3SC065007K4S,而NPC情況則每相使用四個UF3SC065007K4S。TNPC和NPC選項使用12個晶體管和12個柵極驅動器,即使在50kHz時也能提供高于99%的效率。與基于模塊的方法相比,可以節省大量成本。

應用案例:固態斷路器
UnitedSiC展示了一個使用六個并聯UF3SC120009芯片構成的2mΩ,1200V SOT227開關,主要針對大電流固態功率控制器和斷路器應用。但在較低電流下,這些低RDS(ON)FET可以單獨或并聯形式來實現這些功能。
雖然簡單的負載開關只需要低的導通阻抗和良好的熱性能,但對于某些應用可能要求更多。例如在線性模式下使用此器件構成電子負載,在這種模式下,特別是在600~1200V的高電壓下,JFET可以應對大部分功率損耗。由于其VTH不會隨溫度下降,因此它不會在管芯內形成熱點,因此可以在這些條件下穩定運行。
圖10顯示了使用帶有高Rgoff阻抗的UF3SC120009K4S來穩定運行非常緩慢的關斷轉換。固態功率控制器中需要緩慢的導通和關斷轉換,以最大程度地減小切換到高電感線路時產生的電壓尖峰。
結論
設計人員將會發現,這些采用熟悉的TO247-4L封裝,具有出色的開關損耗,同時具備極低RDS(ON)的器件在構建更高功率逆變器、充電器和固態斷路器時能夠提供非常高的價值。這些器件具備的高VTH值以及與硅和SiC柵極驅動電壓的兼容性能夠進一步簡化設計,同時這些器件由于其內在的堅固耐用,并且能夠并聯運行,使設計人員可以采用這些器件來替換電源模塊。
圖1:(a)使用一個低壓硅MOSFET堆疊在高壓常開型SiC JFET源極焊盤上方形成的共源共柵。(b)共源共柵SiC FET的最終電路配置。
圖2:8.6mΩ1200V SiC FET的尺寸。器件黃色部分是SiC JFET,藍色部分為堆疊在其上的低壓MOSFET。該器件連續運行的額定工作溫度為175℃,但該器件的導通狀態和阻斷特性表明,在200℃條件下運行仍可安全地處理過應力情況,而不會發生過熱失控。
表1:添加到TO247產品組合中的低RDSSiC FET性能參數。最低RDS器件具有120A限制。 *包括5Ω,680pF緩沖器。
圖3a:UF3SC065007K4S的導通電阻與溫度的關系,以及相對于最佳可用超級結MOSFET的關系; UF3SC120009K4S針對最佳SiC MOSFET方案的比較。
圖3b:UF3SC120009K4S的第三象限(續流模式)導通狀態特性(左)和QRR(右)與溫度的關系。請注意,在100A時VGS = 0,-5V時的低導通壓降為1.65V,1200-1300nC的低QRR值幾乎與溫度無關。
圖4a:UnitedSiC雙脈沖演示板上的半橋開關波形。RGON = RGOFF = 5Ω,并且在每個器件上都施加了680pF,5Ω的RC緩沖器。
圖4b:一種適合電機驅動應用的實現低dV/dt波形的方法。開關條件為75A/800V,帶有33Ω的RG和68pF的外部CGD電容器。在UnitedSiC雙脈沖演示板上測得半橋開關波形。
圖5顯示了UF3SC120009K4S在兩種情況下的典型雪崩特性。在低電流,高電感狀態下,這些器件可以處理> 5.5J,額定值為550mJ。有趣的是,在較短的電感尖峰下,UF3SC120009K4S的峰值雪崩電流處理能力超過200A。這是由于SiC FET的獨特運行所致,其中JFET從自偏置狀態進入工作模式,能夠安全地吸收雪崩電流。
圖6:UF3SC120009K4S的典型短路測試波形。SiC JFET確定了1200A的峰值電流,該峰值電流由于自受熱而迅速下降。數據獲取條件:VDS = 600V,TSTART = 25℃。
圖7:兩個UF3SC120009K4S器件在VGS = +15/-5V時每個以60A(總共120A)的電流并聯開關,每個柵極使用15Ω RG,在柵極返回路徑為1Ω。在高速開關條件實現了出色的共享。
表2:基于IGBT的最新2級電動汽車逆變器與具有各種低RDS(ON)SiC FET選項的功率損耗比較。在200KW輸出功率下,損耗可降低近3倍。
圖8:用UF3SC065007K4S在高電流下進行同步整流。與使用SiC JBS二極管相比,可以避免產生大量的廢熱。現在,轉換器也可以是雙向。
這種變化允許轉換器進行雙向設計。
圖9:對于2級,NPC和TNPC拓撲架構,在3個工作頻率下具有800V DC鏈路的60KVA太陽能逆變器的損耗評估,其中效率僅考慮了功率半導體的損耗。該功率水平之前通常是采用電源模塊來實現,但現在可以通過UnitedSiC分立器件來完成。
圖10:使用UF3SC120009K4S管理電源控制器/負載開關的緩慢開關轉換。電阻性負載RL =9.4Ω,VDD = 800V,Tj = 25℃,DUT開關條件:VGS = -5V/15V。
推薦閱讀:


