【導讀】本系列文章的第一部分 介紹了關于鎖相環(PLL)的基本概念, 說明了PLL架構和工作原理,同時以一個例子說明了PLL在通信系統中的用途。
在第二部分中,我們將側重于詳細考察與PLL相關的兩個關 鍵技術規格:相位噪聲和參考雜散。導致相位噪聲和參考雜 散的原因是什么,如何將其影響降至最低?討論將涉及測量 技術以及這些誤差對系統性能的影響。我們還將考慮輸出漏 電流,舉例說明其在開環調制方案中的重要意義。
振蕩器系統中的噪聲
在任何振蕩器設計中,頻率穩定性都至關重要。我們需要考 慮長期和短期穩定性。長期頻率穩定性是關于輸出信號在較 長時間(幾小時、幾天或幾個月)內的變化情況。其通常以一 定時間內的比率f/f來規定,單位為百分比或dB。

圖1. 振蕩器的短期穩定性。
信號源中的已知時鐘頻率、電力線干擾和混頻器產品都可能 引起離散雜散成分。隨機噪聲波動引起的擴張是相位噪聲造 成的。其可能是有源和無源器件中的熱噪聲、散粒噪聲和/或 閃爍噪聲造成的。
電壓控制振蕩器中的相位噪聲
在考察PLL系統中的相位噪聲之前,我們先看看電壓控制振 蕩器(VCO)中的相位噪聲。理想的VCO應該沒有相位噪聲。 在頻譜分析儀上看到的輸出應是一條譜線。當然,事實并 非如此。輸出上會有抖動,頻譜分析儀會顯示出相位噪 聲。為了便于理解相位噪聲,請考慮一種相量表示方式, 如圖2所示。

圖2. 相位噪聲的相量表示。
圖中所示信號的角速度為wo,峰值幅度為VSPK。疊加于其上 的誤差信號的角速度為wm。Δrms表示相位波動的均方根 值,單位為rms度數。
在許多無線電系統中,必須符合總積分相位誤差規格的要求。該總相位誤差由PLL相位誤差、調制器相位誤差和基帶元件導致的相位誤差構成。例如,在GSM中,允許的總相位 誤差為5度rms。
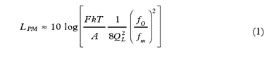
Leeson方程
Leeson(第6項參考文獻)提出了一項方程,用以描寫VCO中的 不同噪聲組分。

其中:
LPM為單邊帶相位噪聲密度(dBc/Hz)
F為工作功率水平A(線性)下的器件噪聲系數
k為玻爾茲曼常數,1.38 × 10-23 J/K
T為溫度(K)
A為振蕩器輸出功率(W)
QL為加載的Q(無量綱)
fo為振蕩器載波頻率
fm為載波頻率失調
要使Leeson方程有效,以下條件必須成立:
● fm,載波頻率失調大于1/f閃爍角頻;
● 已知工作功率水平下的噪聲系數;
● 器件運行呈線性特征;
● Q包括元件損耗、器件加載和緩沖器加載的影響;
● 振蕩器中只使用了一個諧振器。
從理論上講,噪聲功率密度由調幅(調相)和調相(調相)分量組成。這意味著總噪聲功率密度是上述的兩倍。然而,在實踐中,PM噪聲占主導地位的頻率接近承運人和AM噪聲占主導地位的頻率有些遠離承運人。

圖3. VCO中的相位噪聲與頻率失調的關系。
Leeson方程只適用于斷點(f1) 與從"1/f" (更普遍的情況是1/fgamma) 閃爍噪聲頻率到超過后放大白噪聲將占據主導的頻率點 (f2). 的 躍遷之間的膝部區域。如圖3所示[gamma = 3]. f1 應盡量低;一般 地,它小于1 kHz,而f2則在幾MHz以內。高性能振蕩器要求 使用針對低1/f躍遷頻率而專門選擇的器件。有關如何盡量降 低VCO中相位噪聲的一些指導方針如下:
1. 使變容二極管的電壓足夠高(一般在3至3.8 V)
2. 在直流電壓電源上用濾波。
3. 使電感Q盡量高。典型的現成線圈的Q在50至60之間。
4. 選擇一個噪聲系數最小且閃爍頻率低的有源器件。閃爍噪 聲可借助反饋元件降低。
5. 多數有源器件都展現出較寬的U形噪聲系數與偏置電流之 關系曲線。用該信息來為器件選擇最佳工作偏置電流。
6. 使振蕩電路輸出端的平均功率最大化。
7. 在對VCO進行緩沖時,要使用噪聲系數最低的器件。
閉環
前面,我們討論了自由運行VCO中的相位噪聲,考慮了降低 該噪聲的方式,接下來,我們將考慮閉環(見 本系列第一部 分) )對相位噪聲的影響。

圖4. PLL相位噪聲的貢獻因素。
圖4所示為PLL中的主要相位噪聲貢獻因素。系統傳遞函數可 通過以下等式來描述:

在下面的討論中,我們將把SREF定義為出現于參考輸入上且在 鑒相器上看到的噪聲。該噪聲取決于參考分頻器電路和主參 考信號的頻譜純度。SN為出現在頻率輸入端且在鑒相器上看 到的、由反饋分頻器導致的噪聲。SCP為因鑒相器導致的噪聲 (取決于具體的實現方法)。SVCO為VCO的相位噪聲,可用前面 提出的方程來描述。
輸出端的整體相位噪聲性能取決于上面描述的各項。以均 方根方式對輸出端的所有效應加總,得到系統的總噪聲。 因此:
其中:
STOT2為輸出端的總相位噪聲功率。
X2為輸出端因SN 和 SREF導致的噪聲功率。
Y2為輸出端因SCP導致的噪聲功率。
Z2為輸出端因SVCO導致的噪聲功率。
對于PD輸入端的噪聲項SREF 和 SN,其運算方式與 SREF相同,還 要乘以系統的閉環增益。

低頻下,在環路帶寬范圍內,

高頻下,在環路帶寬范圍以外,
鑒相器噪聲 SCP導致的總輸出噪聲貢獻可通過把SCP引回PFD的 輸入端來計算。PD輸入端的等效噪聲為SCP/Kd。然后將其乘 以閉環增益:

最后,VCO噪聲 SVCO對輸出相位噪聲的貢獻可按類似方式計 算得到。這里的正向增益很簡單,就是1。因此,其對輸出噪 聲的貢獻為:

閉環響應的正向環路增益G通常是一個低通函數;在低頻下 非常大,在高頻下則非常小。H為一常數,1/N。因此,以上 表達式的分母為低通,可見SVCO實際上是由閉環濾波的高通。
針對PLL/VCO中噪聲貢獻因素的類似描述見參考文獻1。前面 提到,閉環響應是一個低通濾波器,其截止頻率為3-dB,其 中,BW表示環路帶寬。對于輸出端小于BW的頻率失調,輸出 相位噪聲響應中的主導項為X和Y、參考噪聲N(計數器噪聲) 導致的噪聲項和電荷泵噪聲。使SN和SREF保持最小,使Kd保 持較大值并使N保持較小值,可以使環路帶寬BW中的相位噪 聲最小化。由于N對輸出頻率編程,因此,在降噪方面一般 不予考慮。
對于遠遠大于BW的頻率失調,主導噪聲項為VCO導致的噪聲 項SVCO.。這是由于環路對VCO相位噪聲進行高通濾波的關 系。較小的BW的值最為理想,因為可以最大限度地降低積分 輸出噪聲(相位誤差)。然而,較小的BW會導致緩慢的瞬態響 應,并加大環路帶寬中VCO相位噪聲的影響。因此,環路帶 寬計算必須權衡瞬態響應以及總輸出積分相位噪聲。
為了展示閉環對PLL的影響,圖5展示了一個自由運行的VCO 的輸出與一個作為PLL一部分的VCO的輸出相疊加的情況。 請注意,與自由運行VCO相比,PLL的帶內噪聲已經衰減。

圖5. 一個自由運行VCO和一個PLL連接VCO上的相位噪聲。
相位噪聲測量
測量相位噪聲的一種最為常用的方法是使用高頻頻譜分析儀。 圖6為一個典型示例,展示了通過分析儀可以看到的情況。

圖6. 相位噪聲定義。
借助頻譜分析儀,我們可以測量各單位帶寬的相位波動頻譜 密度。VCO相位噪聲最好在頻域中描述,其中,頻譜密度是 通過測量輸入信號中心頻率任一端的噪聲邊帶獲得的。相位 噪聲功率以分貝為單位,為在偏離載波達給定頻率時相對于 載波(dBc/Hz)的分貝數。以下等式描述了該SSB相位噪聲 (dBc/Hz)。


圖7. 用頻譜分析儀測量相位噪聲。
設在頻譜分析儀后面板連接器上的10-MHz、0-dBm參考振蕩 器具有優秀的相位噪聲性能。R分頻器、N分頻器和鑒相器都 是ADF4112頻率合成器的一部分。這些分頻器可通過PC進行 控制,從而按順序編程。頻率和相位噪聲性能可通過頻譜分 析儀觀察。

圖8. 頻譜分析儀的典型輸出。
圖8所示為一款采用ADF4112 PLL和Murata VCO (MQE520-1880) 的PLL頻率合成器的典型相位噪聲圖。頻率和相位噪聲均在 5-kHz的范圍內測得。所用參考頻率為fREF = 200 kHz (R = 50), 輸出頻率為1880 MHz (N = 9400)。如果這是一款理想的PLL頻 率合成器,則會顯示一個離散信號音升至頻譜分析儀噪底之 上。這里展示的正是該信號音,其中,相位噪聲由環路元件 所致。選擇的環路濾波器值旨在使環路帶寬達20 kHz左右。相位噪 聲中與低于環路帶寬的頻率失調相對應的平坦部分實際上是 “閉環”部分用X2和Y2描述的相位噪聲,適用于f處于環路帶 寬范圍內的情況。其額定失調為1-kHz。實測值,即1-Hz帶 寬范圍內的相位噪聲功率為–85.86 dBc/Hz。它包括以下組成 部分:
● 1-kHz失調條件下,載波與邊帶噪聲(單位:dBc)之間的相 對功率。
● 頻譜分析儀顯示特定分辨率帶寬(RBW)的功率。圖中使用 的是10-Hz RBW。要在1-Hz帶寬范圍內表示該功率,必須 從(1)所得結果中減去10log(RBW)。
● 必須把考慮了RBW實現方法、對數顯示模式和檢波器特征 的校正系數加到(2)所得結果中。
● 對于HP 8561E,可使用標記噪聲函數MKR NOISE快速測量 相位噪聲。該函數考慮了上述三個因素并以dBc/Hz為單位 顯示相位噪聲。
以上的相位噪聲測量值為VCO輸出端的總輸出相位噪聲。如 果我們要估算PLL器件的貢獻(鑒相器、 R&N 分頻器和鑒相器 增益常數導致的噪聲),則必須將結果除以N2(或者從以上結 果中減去20×logN )。結果得到相位噪底[-85.86 - 20×log(9400)] = -165.3 dBc/Hz.
參考雜散
在整數N PLL(其中,輸出頻率為參考輸入的整數倍)中,導致 參考雜散的原因是,電荷泵以參考頻率速率持續更新。我們再來看看本系列第一部分 中討論過的基本PLL模型。該模型 在這里重復如圖9所示。

圖9. 基本PLL模型。
當PLL鎖定時,PFD的相位和頻率輸出(fREF和fN)實際上是相等 的,并且在理論上,PFD無輸出。然而,這可能導致一些問 題(留待本系列第三部分討論),因此,PFD在設計上應使得其 處于鎖定狀態時,來自電荷泵的典型電流脈沖如圖10所示。

圖10. 來自PFD電荷泵的輸出電流脈沖。
盡管這些脈沖具有極窄的寬度,但它們的存在意味著驅動 VCO的直流電壓是由頻率為fREF的信號進行調制的。這會在 RF輸出中產生參考雜散,且發生的失調頻率為fREF的整數倍 數。可以用頻譜分析儀來檢測參考雜散。只需把范圍增至 參考頻率的兩倍以上即可。典型曲線圖如圖11所示。本例 中,參考頻率為200 kHz;顯然,圖中參考雜散發生于RF輸出 1880 MHz± 200 kHz的范圍內。這些雜散的電平為–90 dB。如 果把范圍增至參考頻率的四倍以上,則在(2 × fREF)時也可看 到雜散。 電

圖11. 輸出頻譜中的參考雜散。
電荷泵漏電流
當把頻率合成器的CP輸出編程為高阻抗狀態時,理論上,不 會有漏電流流動。實際上,在某些應用中,漏電流的大小會 影響到系統的整體性能。例如,考慮這樣一種應用,其中, 開環模式使用一個PLL來實現頻率調制——這是一種簡單而經 濟的高頻方法,比閉環模式支持更高的數據速率。對于FM來 說,盡管閉環法確實有效,但數據速率卻受環路帶寬的限制。一種采用開環調制的系統是歐洲無繩電話系統DECT。輸 出載波頻率范圍為1.77 GHz至1.90 GHz,數據速率較高,達 1.152 Mbps。

圖12. 開環調制框圖。
開環調制的框圖如圖12所示。工作原理如下:開始時,環路 閉合以鎖定RF輸出,fOUT = N fREF。調制信號被開啟,開始時, 調制信號只是調制的直流均值。然后,把頻率合成器的CP輸 出置于高阻抗模式,從而斷開環路,同時將調制數據饋入高 斯濾波器。然后,調制電壓出現在VCO,并乘以KV。當數據 突發結束時,環路返回閉環工作模式。
由于VCO通常具有高靈敏度(典型值在20至80 MHz/V之間), 因此,在VCO之前的任何小電壓漂移都會導致輸出載波頻率 漂移。在高阻抗模式下,該電壓漂移以及由此導致的系統頻 率漂移直接取決于電荷泵CP的漏電流。該漏電流會導致環路 電容充電或放電,具體取決于漏電流的極性。例如,1 nA的漏 電流會導致環路電容(如1000 pF)上的電壓充電或放電dV/dt = I/C(本例中為1 V/s)。這又會導致VCO漂移。因此,如果環路斷 開1 ms且VCO的KV為50 MHz/V,則1-nA漏電流在1000-pF環路 電容中導致的頻率漂移為50 kHz。事實上,DECT突發脈沖一 般較短(0.5 ms),因此,對于本例中所使用的環路電容和漏電 流,漂移實際上會更小。然而,這的確可以證明電荷泵漏電 流在這類應用中的重要性。
接收器靈敏度
<p接收器靈敏度指定接收器對弱編號的響應能力。數字接收器> </p接收器靈敏度指定接收器對弱編號的響應能力。數字接收器>
LO中的寬帶噪聲會提高IF噪聲水平,從而降低總噪聲系數。 例如,FLO + FIF條件下的寬帶相位噪聲會在FIF下產生噪聲積。 這會對接收器靈敏度造成直接影響。該寬帶相位噪聲主要取 決于VCO相位噪聲。
LO中的近載波相位噪聲也會影響到靈敏度。顯然,接近FLO 的 任何噪聲都會產生接近FIF的噪聲積,并直接影響靈敏度。
接收器選擇性
<p接收器靈敏度指定接收器對弱編號的響應能力。數字接收器> <p接收器靈敏度指定接收器對目標接收通道鄰道做出響應的傾>

圖13. 鄰道干擾。
</p接收器靈敏度指定接收器對目標接收通道鄰道做出響應的傾></p接收器靈敏度指定接收器對弱編號的響應能力。數字接收器>
結論
在本系列的第二部分中,我們討論了與PLL頻率合成器相關 的部分重要技術規格,介紹了相應的測量技術,并展示了一 些結果示例。另外,我們還簡要討論了相位噪聲、參考雜散 和漏電流對系統的影響。
在本系列的最后一部分 中,我們將考察PLL頻率合成器的構 建模塊。此外,還將對PLL的整數N和小數N架構進行比較。
參考電路
1. Mini-Circuits Corporation公司,VCO設計師手冊, 1996年。
2. L.W. Couch, 數字與模擬通信系統, Macmillan Publishing Company, New York, 1990年。
3. P. Vizmuller, RF設計指南, Artech House, 1995年。
4. R.L. Best, Phase Locked Loops: 鎖相環:設計、仿真與應 用, 第3版, McGraw-Hill, 1997年。
5. D.E. Fague, "無繩通信系統中的VCO開環調制", RF設 計,1994年7月。
6. D.B. Leeson, "反饋振蕩器噪聲頻譜簡化模型", IEEE會 刊, 第42卷,1965年2月,第329–330頁。
致謝
筆者希望借此機會向利默里克ADI通用RF應用部門的Brendan Daly表示誠摯的謝意,他提供了相位噪聲和參考雜散的曲 線圖。
推薦閱讀:




