【導讀】很多應用都需要差分信號,包括驅動現代模數轉換器(ADC)、通過雙絞線電纜傳輸信號、調理高保真音頻信號。由于差分信號在一組特定電源電壓下使用較大信號,提高了對共模噪聲的抑制能力,降低了二次諧波失真,因而實現了更高的信噪比。由于這一需求,我們需要可將大多數信號鏈中的單端信號轉換為差分信號的電路模塊。
圖1顯示了簡單的單端轉差分轉換器,它使用AD8476精密低功耗完全差分放大器(diff-amp),帶有集成精密電阻。差分放大器內部配置的差分增益為1,因此電路的傳遞函數為:
輸出共模電壓(VOP + VON)/2由VOCM 引腳上的電壓設置。如果允許VOCM引腳浮空,則由于形成電源的電阻分壓器的內部1 MΩ電阻,輸出共模電壓將會浮動至電源電壓中間值。電容C1會濾除1 MΩ電阻的噪聲,以降低輸出共模噪聲。由于AD8476的內部激光調整增益設置電阻,因而電路的增益誤差最大值僅為0.04%。

圖1. 簡單的單端轉差分轉換器。
對于很多應用,圖1中的電路已足以用于執行單端轉差分的轉換。對于需要更高性能的應用,圖2顯示的單端轉差分轉換器具有很高輸入阻抗,最大輸入偏置電流為2 nA,最大失調(RTI)為60 µV,最大失調漂移為0.7 µV/°C。該電路通過將OP1177精密運算放大器(op amp)與AD8476級聯,并將AD8476的正輸出電壓反饋至運算放大器的反相輸入端,達到這種級別的性能。這種反饋方式使得運算放大器能夠確定配置的精度和噪聲性能,因為它將反饋環路內的差分放大器與前面的運算放大器的大開環增益相連。因此,當以輸入為基準時,這種大增益可以減少AD8476的誤差,包括噪聲、失真、失調和失調偏移。

圖2. 改進的單端轉差分轉換器。
圖2中的電路可以用以下公式表示:

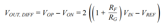
聯立(1)和(3):
公式3展示了有關電路的兩個重要特性:首先,電路的單端轉差分增益為2。第二,VREF節點作為輸入信號的基準,因此它可用于消除輸入信號中的偏置。例如,如果輸入信號具有1 V的偏置,則將1 V施加于REF節點可以消除偏置。
如果目標應用需要大于2的增益,則可以修改圖2中的電路,如圖3所示。在這種情況下,電路的單端轉差分增益取決于外部電阻RF和RG如下所示:
(5)和
(6)
圖3. 改進的單端轉差分轉換器,具有電阻可編程增益。
與圖2中的電路相似,這種經過改進的單端轉差分轉換器可將差分放大器放置在運算放大器的反饋環路內部,從而抑制差分放大器的誤差。與任何反饋連接相同,我們必須小心地確保系統是穩定的。請參考圖2,OP1177和AD8476的級聯形成了復合差分輸出運算放大器,頻率范圍的開環增益是運算放大器的開環增益和差分放大器的閉環增益的乘積。因此,AD8476的閉環帶寬為OP1177的開環增益添加了一個極點。為確保穩定性,差分放大器的帶寬應高于運算放大器的單位增益頻率。在圖3所示的電路中,這一要求有所放寬,因為電阻反饋網絡有效地將OP1177的單位增益頻率降低了RG/(RG + RF)倍。由于D8476具有5 MHz的帶寬,OP1177具有1 MHz的單位增益頻率,因此所示的電路不會出現穩定性問題。圖4顯示了圖2中的電路的輸入和輸出信號的示波圖,由以地為基準的10 Hz、1 V p-p正弦波驅動。為簡明起見,VREF節點接地。

圖4. 由以地為基準的10 Hz、1 V p-p正弦波驅動時,圖2中電路的輸入和輸出信號。
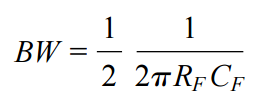
如果使用的運算放大器的單位增益頻率遠大于差分放大器的帶寬,則可插入帶寬限制電容CF,如圖3所示。電容CF和反饋電阻RF構成積分器,因而整個電路的帶寬按以下方式計算:
(7)帶寬公式中的½是因為反饋是單端的,而不是差分的,這樣會將反饋和帶寬減少一半。如果減少的帶寬低于差分放大器的閉環帶寬,則電路將會非常穩定。這種帶寬限制技術也可在增益為2的情況下使用,讓RG保持開路。


