中心議題:
- 熱插拔技術
- 熱插拔設計實例分析
解決方案:
- 電壓超過10 V的情況下使能控制器的情況
- 檢測電阻的選取應以開啟定時器所需的負載電流為依據。
- 選擇MOSFET之前必須確定負載電容充電所需的時間
- 選擇MOSFET之前選定VDS 和ID標準
服務器、網絡交換機、冗余存儲磁盤陣列(RAID),以及其它形式的通信基礎設施等高可用性系統,需要在整個使用生命周期內具有接近零的停機率。如果這種系統的一個部件發生了故障或是需要升級,它必須在不中斷系統其余部分的情況下進行替換,在系統維持運轉的情況下,發生故障的電路板或模塊將被移除,同時替換部件被插入。這個過程被稱為熱插拔(hot swapping)(當模塊與系統軟件有相互作用時,也被稱為hot plugging1)。
為了實現安全的熱插拔,通常使用帶交錯引腳的連接器來保證地與電源的建立先于其它連接,另外,為了能夠容易的從帶電背板上安全的移除和插入模塊,每塊印制板(PCB)或熱插拔模塊都帶有熱插拔控制器。在工作狀態下,控制器還可提供持續的短路保護和過流保護。
盡管切斷或開啟的電流會比較大,但大電流設計的一些微妙之處卻常常未得到充分的考慮。“細節決定成敗”,本文將重點分析熱插拔控制電路中各部件的功能及重要性,并深入分析在設計過程中使用ADI公司ADM11773熱插拔控制器時的設計考慮和器件選型標準。
熱插拔技術
常用的兩種系統電源電壓為-48 V和+12 V,它們使用不同的熱插拔保護配置。-48 V系統包含低端熱插拔控制器和導通MOSFET;而+12 V 系統使用高端熱插拔控制器和導通MOSFET。
-48 V方案來源于傳統的通信交換系統技術,如高級通信計算架構(ATCA)系統、光網絡、基站,以及刀片式服務器。48 V電源通??捎呻姵亟M提供,選用48 V是因為電源及信號能被傳輸至較遠的距離,同時不會遭受很大損失;另外,在通常條件下,由于電平不夠高,所以不會產生嚴重的電氣沖擊危險。采用負電壓的原因是,當設備不可避免的暴露在潮濕環境中時,在正極端接地的情況下,從陽極到陰極的金屬離子遷移的腐蝕性較弱。
然而,在數據通信系統中,距離并不是重要因素,+12 V電壓會更加合理,它常用于服務器及網絡系統中。本文將重點介紹+12 V系統。
熱插拔事件
考慮一個具有12 V背板及一組可移除模塊的系統。每個模塊必須能在不影響任意相鄰模塊正常工作的條件下被移除和替換。當沒有控制器時,每個模塊可能會對電源線造成較大的負載電容,通常在毫法量級。首次插入一個模塊時,其未充電的電容需要所有可用的電流來對其進行充電。如果不對這個浪涌電流加以限制,這個很大的初始電流將會降低端電壓,導致主背板上的電壓大幅下降,使系統中的多個鄰近模塊復位,并破壞模塊的連接器。
這個問題可通過熱插拔控制器(圖1)來解決,熱插拔控制器能合理控制浪涌電流,確保安全上電間隔。上電后,熱插拔控制器還能持續監控電源電流,在正常工作過程中避免短路和過流。
[page]
熱插拔控制器
ADM1177熱插拔控制器包括三個主要元件(圖2):用作電源控制主開關的N溝道MOSFET、測量電流的檢測電阻,以及熱插拔控制器。熱插拔控制器用于實現控制MOSFET導通電流的環路,其中包含一個電流檢測放大器。

圖2、ADM1177功能框圖
熱插拔控制器內部的電流檢測放大器用于監控外部檢測電阻上的電壓降。這個小電壓(通常為0~100 mV)必須被放大到可用的水平。ADM1177中放大器的增益為10,那么,舉例來說,某個給定電流產生的100 mV電壓降將被放大到1 V。這個電壓將與固定或可變的基準電壓進行比較。如果使用1V的基準源,那么在檢測電阻上產生 100 mV(±3%)以上電壓的電流將導致比較器指示過流。因此,最大電流觸發點主要取決于檢測電阻、放大器增益,以及基準電壓;檢測電阻值決定了最大電流。定時器電路用于設定過流持續時間。
ADM1177具有軟啟動功能,其中過流基準電壓線性上升,而不是突然開啟,這使得負載電流也以類似方式跟著變化。這可通過從內部電流源往外部電容(SS引腳)注入電流,令比較器的基準輸入從0 V到1 V線性升高而實現。外部SS電容決定了上升的速度。如果需要,SS引腳也可以直接使用電壓驅動,以設定最大電流限。
由比較器及參考電路構成的開啟電路用于使能器件。它精確設定了使能控制器所必須達到的電源電壓。器件一旦使能,柵極就開始充電,這種電路所使用的N溝道MOSFET的柵極電壓必須高于源極。為了在整個電源電壓(VCC)范圍內實現這個條件,熱插拔控制器集成了一個電荷泵,能夠將GATE引腳的電壓維持在比VCC還高10 V的水平。必要時,GATE引腳需要電荷泵上拉電流來使能MOSFET,并需要下拉電流來禁用MOSFET。較弱的下拉電流用于調節,較強的下拉電流則用于在短路情況下快速禁用MOSFET。
熱插拔控制器的最后一個基本模塊為定時器,它限制過流情況下電流的調節時間。選用的MOSFET能在指定的最長時間內承受一定的功率。MOSFET制造商使用如圖3所示的圖表標出這個范圍,或稱作安全工作區(SOA)。

圖3 MOSFET SOA圖
SOA圖所示的是漏源電壓、漏極電流,以及MOSFET能夠承受這一功耗的持續時間之間的關系。例如,圖3中的MOSFET在10 V和85 A(850 W)條件下能承受1 ms,如果這一條件持續更長時間,則MOSFET可能損壞。定時器電路使用外部定時器電容來限制MOSFET經受這些最壞條件的時間。例如,如果定時器設置為1ms,當電流的持續時間超過1 ms的限制時,電路就會暫停,并關斷MOSFET。
為了提供安全裕量,在ADM1177中,定時器的電流檢測電壓激活閾值被設置為92 mV,因此,當檢測電壓接近100 mV的額定值時,熱插拔控制器就會開始計時。[page]
設計實例
由于ADM1177等控制器的設計允許一定的靈活性,因此演示其在12 V熱插拔設計實例中的應用是很有用的。在本例中,假設:
• 控制器為ADM1177
• VIN = 12 V (±10%)
• VMAX = 13.2 V
• ITRIP = 30 A
• CLOAD = 2000 μF
• VON = 10 V (較好的開啟控制器的電源電平)
• IPOWERUP = 1 A (上電過程中所需的直流偏置電流)
為簡化討論,計算中不考慮器件容差效應。當然,在最壞條件的設計中,應當考慮這些容差。
ON 引腳
首先考慮在電源電壓超過10 V的情況下使能控制器的情況。如果ON引腳的閾值為1.3 V,從VIN 到ON引腳的分壓器比例應該設定為0.13:1。為了保證準確性,選擇電阻時應考慮到引腳的漏電。
由10 kΩ與1.5 kΩ構成的電阻分壓器的分壓比為0.130。
檢測電阻的選擇
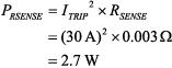
檢測電阻的選取應以開啟定時器所需的負載電流為依據。
![]()
其中 VSENSETIMER = 92 mV.
檢測電阻在30 A電流下消耗的最大功率為

因此,檢測電阻應該能承受3W的功率。如果沒有具有適當的額定功率或阻值的單個電阻,可以使用多個電阻并聯來構成檢測電阻。
負載電容充電時間
選擇MOSFET之前必須確定負載電容充電所需的時間。在上電階段,由于負載電容的浪涌電流效應,控制器通常會達到電流限制。如果TIMER引腳設置的時間不足以允許負載電容完成充電,那么MOSFET將被禁用,系統無法上電。我們可以使用下列公式來確定理想的充電時間:

其中 VREGMIN = 97 mV,是熱插拔控制器的最小調節電壓。
這個公式假定負載電流瞬時從0 A上升到30 A,這是一個理想情況。實際上,較大MOSFET的柵極電荷量QGS會限制柵極電壓的壓擺率,從而限制上電電流,因此,一定量的電荷會傳輸到負載電容而不觸發定時器功能。在圖4中,具有較大QGS的MOSFET會導致定時器的工作時間短于具有較小QGS的MOSFET,前者為T1 ~ T3,而后者為T0 ~ T2。[page]

圖4、啟動過程中QGS的影響
這是因為在T0和T1之間傳輸電荷的增加小于電流限制,因此實際時間小于計算所需的時間。這個數值難以定量,它取決于控制器柵極電流以及MOSFET的柵極電荷和電容。在某些情況下,它可能占到整個充電電流的30%,因此在設計中需要對其加以考慮,尤其是使用大MOSFET及大電流的設計。
在利用具有較小柵極電荷的MOSFET的設計中,可假設柵極電壓的上升速度很快。這會導致從0 A到ITRIP的快速增加,從而引起不希望的瞬變,在這種情況下,應使用軟啟動。
軟啟動
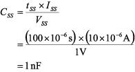
利用軟啟動,浪涌電流在軟啟電容設定的期間可以從零線性增加到滿量程。通過逐步提高基準電流,能避免浪涌電流突然達到30 A的限制。需要注意的是,在軟啟過程中,電流處于調整過程中,因此,定時器從軟啟動開始之際就進入工作狀態,如圖5所示。

因此,推薦將軟啟動時間設定為不超過定時器總時間的10%~20%。例如,可以選擇100 μs的時間。軟啟電容可由下式確定:

其中 ISS = 10 μA and VSS = 1 V.
MOSFET與定時器的選擇
選擇合適的MOSFET的第一步為選定VDS 和ID標準。對于12 V系統來說,VDS應為30 V或40 V,以處理可能損壞MOSFET的瞬變。MOSFET的 ID應遠大于所需的最大值(參考圖3的SOA圖)。在大電流應用中,最重要的指標之一為MOSFET的導通電阻RDSON。較小的RDSON能確保MOSFET在正常工作時具有最小功耗,并在滿負載條件下產生最少的熱量。
對熱量及功耗的考慮
因為必須要避免過熱,因此,在考慮SOA指標與定時器選擇之前,應該先考慮MOSFET在直流負載條件下的功耗。隨著MOSFET溫度的升高,額定功率將會減小或降額。此外,在高溫下工作時,MOSFET的使用壽命會縮短。
[page]
前面提及熱插拔控制器將在92 mV的最小檢測電壓下開啟定時器。為了進行計算,我們需要知道不會觸發定時器的最大允許直流電流。假設最壞條件下的VREGMIN 為97 mV,那么,
![]()
假設 MOSFET''''''''''''''''''''''''''''''''s 最大 RDSON is 2 mΩ,則功率為

數據手冊中會給出MOSFET在常溫下的熱電阻。封裝尺寸及附加的銅引線會對其具有一定影響。假設
![]()
由于 MOSFET需要消耗2.1W的功率,最壞條件下,溫度可能將上升到高于室溫126°C:
![]()
降低這個數值的一種方法是并聯使用兩個或更多的MOSFET,這樣能有效降低RDSON,從而降低MOSFET的功耗。使用兩個MOSFET時,假設電流在器件間均勻匹配(允許一定的容差),那么每個MOSFET的溫度升高最大值為32°C。下式給出了每個MOSFET的功耗:

假設室溫TA = 30°C,再加上這個溫度上升值,那么每個MOSFET的最大溫度為62°C。
![]()
MOSFET SOA考慮
下一步需要檢查SOA圖,以選擇合適的能工作在最壞條件的MOSFET。在短路到地的最壞條件下,可假設VDS等于 VMAX,為 13.2V,這是將MOSFET源極拉到地時MOSFET上能產生的最大電壓。在調節階段,最壞條件將取決于數據手冊中熱插拔控制器調節點的最大值,這個值為103 mV。于是,電流可根據下式進行計算:
![]()
在與MOSFET SOA圖進行比較之前,我們需要考慮MOSFET的溫度降額,因為SOA是以室溫(TC = 25°C)下的數據為基礎的。首先計算TC = 25°C下的功耗:
![]()
其中 RthJC 可由MOSFET數據手冊得到。
現在對TC = 62°C進行同樣的計算:
![]()
因此,1.42的降額因數可通過如下計算得到:
![]()
這需要被應用于圖3的MOSFET SOA圖中。為了反映出調節過的額定功率,需要把表示施加最大功率的時間值的對角線向下平移。我們先使用1 ms線來舉例說明這條曲線的原理。例如,在這條線上取一點,如(20 A、40 V),這點的功率為800 W,應用降額公式:
![]()
在40 V,降額后的功率所對應的電流為14 A,在SOA圖上這點將確定新的62°C降額后的1 ms線。使用同樣的辦法可確定新的10 ms以及100 μs線。新線在圖6中以紅色示出。

圖6、包含62°C降額后功率限制的SOA圖[page]
選擇定時器電容
SOA中新的降額線可用于重新計算定時器的參數值。沿IMAX ≈ 35A 畫一條水平線,沿VMAX = 13.2 V畫一條垂直線(淡藍色的線),并確定它們與紅色線的交叉點。這些交叉點示出1 ms與10 ms之間的某個時間,也許是2 ms。在對數坐標圖的小范圍內,一般很難獲取準確的數值,因此要進行慎重的選擇,要考慮到這些選擇對性能以及價格等其它標準的影響,確保留有足夠的容差。
前面提到對負載進行充電的時間約為850 μs。由于軟啟動時間是由線性斜坡決定的,與階躍變化相比,要花費更長的時間來對負載電容充電。為了估算總的電荷量,如果使用軟啟動,假設需要在計算時間的基礎上加上軟啟動時間的一半,于是,在850 μs上加軟啟動時間的一半(50 μs),得到總時間約為900 μs。如果所選的MOSFET具有較大的柵極電荷(比如≥80 nC),如前所述,這個時間需要進一步縮小。如果對負載充電的時間小于最大SOA時間,MOSFET就是合適的。在這個例子中,MOSFET符合標準(0.9 ms<2 ms)。
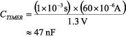
小于2 ms的定時器值足以保護MOSFET,大于0.9 ms則足夠對負載充電。如果選擇的時間恒定為1 ms,那么電容可通過下式進行計算:
![]()
其中 ITIMER = 60 μA 和 VTIMER = 1.3 V,

使用并聯MOSFET時,對定時器的計算不會變。重要的是應使用單個MOSFET設計定時器及短路保護,原因是在一組MOSFET中,VGSTH會有顯著差異,因此在調整過程中,需要使用單個MOSFET處理較大的電流。
完成熱插拔設計

圖7、完整的參考設計
圖7所示的是具有正確參數值的并聯MOSFET熱插拔設計。ADM1177熱插拔控制器還能執行其它功能。它集成了片上ADC,可用于將電源電壓和負載電流轉換為數字數據,以通過I2C總線讀出,提供全集成的電流及電壓檢測功能。




