中心議題:
- 710 MHz雙天線的設計
- S參數的去耦合分析
- 等效耦合器的設計
- 710 MHz的LTE雙天線與去耦合網絡的聯合仿真
解決方案:
- 等效耦合器的設計
為了滿足LTE在高數據率和高系統容量方面的需求,LTE系統支持多天線MIMO(Multiple Input Multiple Output)技術,在發射端和接收端同時使用多個天線進行接收和發射,將不可避免地引起多個天線之間的相互耦合,導致天線之間的相關性減小,從而降低通信容量,而且也會降低天線的輻射效率。這種耦合在移動終端天線上表現得尤為明顯。通常為了降低天線之間的耦合,要求增大天線之間的距離,而移動終端有限的空間又不能滿足此要求,尤其是在700 MHz左右的頻段,幾個天線之間的電氣距離通常只有波長的十幾分之一,這就更加劇了耦合程度。
在移動終端,通常使用印制板天線,所以本文研究的主要問題也是多個印制板天線之間的耦合問題。印制天線之間的耦合通常包括3個部分:遠場耦合;近場耦合;表面波耦合。當多個天線之間的極化方向相同時,就會存在遠場耦合,天線之間的距離增大一倍,耦合會減小6 dB。當一個天線處于另一個天線的近輻射場時,近場耦合就會發生,耦合與介質的介電常數有關,也與天線之間的距離有關,當天線的距離增大一倍時,耦合會減小12~18 dB。表面波耦合發生在介質層,天線之間的距離增大一倍,表面波耦合減小3 dB。當介質的厚度h與波長λ0之間的比值達到一定數值時,表面波之間的耦合將起主導作用。
為了降低多個天線之間的耦合,人們想出了各種辦法。其中一種有效的方法就是使用DMN(Decoupling and Matehing Networks)技術。具體的設計方法與實例文獻均有論述,但是文中并沒有給出具體的理論說明。文獻提出了一種采用正交模式分析的方法,通過S參數分析,從理論上給出了一種合理的去耦合方法。本文采用文獻給出的S參數分析方法,對文獻提出的710 MHz天線之間的耦合進行研究,并通過計算設計出一種采用集總參數元件構成的耦合器與匹配網絡去掉兩個天線之間的耦合。通過HFSS和ADS聯合仿真可以看出,S12與S21參數得到了明顯改善。
1 一種71O MHz雙天線的設計
710 MHz的頻段是LTE使用的一個重要頻段,然而在移動終端上,移動設備有限的體積與710 MHz較大的波長給設計師提出了苛刻的要求。LET使用的是MIMO技術,也就是在一個終端上同時存在著多個發射天線,不可避免地引起了天線之間的耦合,降低了通信容量。文獻提出了一種曲線形雙天線,這種緊湊的結構符合了移動終端對體積的要求。但是緊湊的結構也引起了天線之間較高的耦合。
天線的結構設計如圖1所示。天線工作在710 MHz的頻段,由兩個曲線單極子天線組成。兩個天線印制在FR4介質板上(介電常數等于4.6,介質厚1 mm)。天線走線的寬度是1 mm,走線之間的距離也是1 mm。兩個天線之間的距離是6 mm,天線端口接1.8 mm的微帶線饋電。使用HF-SS 12進行仿真,可以得出S參數如圖2所示。可見S11的性能很好,然而天線之間的耦合S12過大,難以滿足LTE對天線工作性能的要求。

[page]
2 S參數的去耦合分析
為了提高天線的輻射效率,學者們提出了DMN技術,即在多個天線的輸入端先加耦合器以去掉天線之間的耦合,然后加匹配網絡,如圖3所示。文獻對這種方法進行了詳細論述,并闡述了用S參數分析正交模的方法。下面對一個二端口網絡的天線進行S參數的分析。

雙天線系統是一個無源二端口網絡,用ai表示第i個端口的入射波,用bi表示第i個端口的反射波。入射波矢量a=(a1,a2)T,反射波矢量b=(b1,b2)T,其中:T表示矩陣的轉置。則有:
![]()
所有的波矢量都是復數,則入射功率和反射功率由下式給出:

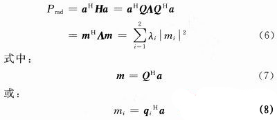
式中:|·|表示復數的模,上角標H表示厄米特轉置。那么,輻射功率就可以表示為:

式中:H就是輻射矩陣,并且輻射矩陣是個厄米特量(HH=H),而厄米特矩陣是可以通過一個相似變換而對角化的。因此有:
![]()
式中:A=diag{λ1,λ2},而Q是幺正的(即QQH=I)。根據厄米特矩陣的性質,兩個正交值λ1和λ2都是實數,并且小于等于1。將式(5)代入式(4)得:

則Q矩陣的第i列qi就稱為天線陣列的正交模式。|ai|2表示第i個端口的入射功率;|mi|2表示第i個正交模式的激發功率。由于Q的幺正性,有|a|2=|m|2,這就保證了入射總功率等于激發起的正交??偣β?。而λi則反應了正交模式的輻射效率。
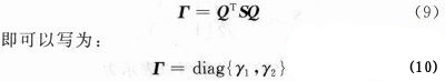
與輻射功率相對的是反射功率。根據(5)式及厄米特矩陣的性質,如果Q可以將H化為對角矩陣,則S也可以化為對角矩陣。有:

則反射矢量可以寫為:

[page]
為了使正交模式的輻射效率最大,文獻和文獻詳細論述了等效耦合參數的方法。對于一個雙天線系統,等效去耦合網絡如圖4所示,其中S是天線的反射參數,SD是去耦合網絡的反射參數,文獻指出加入了去耦合系統的S參數可以表示為:


則等效天線的Ss參數將是對角化的,并且它的等效天線輸入端口將是去耦合的。Q的列向量也就是天線的正交輻射模式。下一節將使用以上理論分析第1部分設計的天線的參數,并將其輸入端的耦合去掉。
3 等效耦合器的設計
對于一個雙天線系統,應該有兩個正交模同時存在,去耦合網絡是一個四端口網絡,正交輻射矩陣可以寫為:

所以去耦合網絡的S參數可以表示為:

這是一個180°定向耦合器,也稱為rat-race網絡,如圖5所示。物理上可以通過微帶實現,如圖6所示。然而對于第1部分提出的710 MHz天線,由于波長太長,這樣的耦合器在移動設備上無法實現。為了實現去耦合,可以用貼片電感和電容做出成等效傳輸線,從而用電感和電容做成一個耦合網絡,這就可以顯著降低耦合器占用的體積。如圖7所示,一個等效1/4波長傳輸線可以用兩個電容和一個電感來等效代替。電容和電感的計算公式為:
[page]



由于第二部分設計的天線傳輸線阻抗是50 Ω,所以1/4傳輸線的阻抗是70.7 Ω,將710 MHz代入,則可以求得L=15.8 nH,C=3.17 pF。這樣,就可以設計出180°的混合耦合器如圖8所示。將耦合器的3,4端口通過通孔連接天線,1,2端口接饋電網絡,就可構成一個雙天線的去耦合系統。
4 710 MHz的LTE雙天線與去耦合網絡的聯合仿真
本文使用ADS對雙天線系統的去耦合網絡進行仿真。先在ADS中設計出耦合器的電路,如圖8所示,然后將第1部分設計的LTE天線使用HFSS仿真出的S參數導出為SNP文件,最后將SNP文件導入到ADS中,進行聯合仿真。SNP文件的兩個輸入端口接耦合器的3、4端口,耦合器的1,2端口接饋電端。仿真結果如圖9所示??梢姡尤肓巳ヱ詈暇W絡后,S12和S21降到了30 dB以下。由于輸入端口存在著不匹配,所以S11和S22太大,不能滿足要求,這可以通過在饋電端口加入匹配網絡來改善。通過ADS的優化設置,可知當匹配網絡先并聯一個3.815 nH電感,再串聯一個14 nH的電感后,S11和S22均可以達到滿意的效果,S12和S21也進一步減小到-35 dB以下。加入匹配網絡后的仿真結果如圖10所示,從圖中也可以看出,S11只是在一個很窄的帶寬內滿足要求,這也是DMN技術的局限。


5 結語
本文從s參數的角度分析了一個雙天線系統的去耦合方法,并通過一個天線設計實例,使用HFSS和ADS進行去耦合前和去耦合后的仿真。結果顯示加入去耦合網絡和匹配網絡后兩個天線間的耦合可以降低至-35 dB以下,反射系數也可達到-15 dB以下,這滿足了工作于710 MHz的移動設備的要求。



