中心議題:
- 無線傳輸射頻識別系統的工作原理
- 無線傳輸射頻識別系統的硬件設計及調試與測試
解決方案:
- 無線傳輸射頻識別系統的硬件設計
當今各種智能化控制系統離不開數據信息的傳輸。其中,無線數據傳輸是區別于傳統有線傳輸的新型傳輸方式,系統不需要傳輸線纜且成本低廉。為單片機匹配相應的無線通信接口電路,即可實現單片機之間或單片機與微機之間的無線數據傳輸。目前常用的無線通信接口電路,是以無線收發芯片為核心的電路。當數據傳輸時,在軟件設計中采取必要的抗干擾措施和識別措施,可以有效地避免干擾,達到滿意的通信效果。本文以89c2051單片機為基礎,進行無線通信以識別非接觸式無線識別裝置,其應用可以嵌入到電業管理或燃氣收費等系統中,也可作為一個獨立讀卡器對IC卡進行操作,配合不同軟件可以應用于不同行業。
1 系統的工作原理
本設計以單片機作為閱讀器和應答器的核心、這兩部分主要使用LM567。本系統是一個小型的無線識別器件最大操作距離達70mm。系統內部結構分為射頻區和接口區:射頻區內含調制解調器和電源供電電路,直接與天線連接;接口區有與單片機相連的端口,還具有與射頻區相連的收/發器、可以用單片機程序存放3套寄存器初始化文件的E2PROM以及進行3次數據證實防錯誤機制、防碰撞處理的防碰撞模塊和控制單元。這是閱讀器跟應答器實現無線通信的核心模塊,也是設計的關鍵。
2 硬件電路的設計
無線識別系統裝置由閱讀器、應答器與耦合線圈(即天線)3部分組成。
2.1 閱讀器的設計
閱讀器基本電路,如圖1所示。當有應答器靠近閱讀器時,閱讀器內的天線組成了一個LC并聯諧振電路,其頻率與應答器的發射頻率相同,這樣在電磁波的激勵下,LC諧振電路產生共振,從而使高頻信號流入閱讀器中用于解調的LM567的輸入端。輸出的解調信號與上述單片機編碼信號反向,最后經過單片機譯碼輸出顯示。
LM567具有調制和解調雙重功能。其調解出來的信號可直接被單片機識別,并由單片機發送給數碼管并顯示。

圖1 閱讀器
2.2 應答器的設計
應答器工作時,通過89c2051單片機進行數據編碼,然后送往LM567被調制到高頻載波上,與其輸出端相連的天線線圈不斷地向外發出一組固定頻率的電磁波(145kHz),當有應答器靠近閱讀器時,閱讀器識別并顯示。應答器硬件電路如圖2所示。

圖2 應答器[page]
2.3 耦合線圈(即天線)的設計
天線是一種轉能器。發射時,把發射機的高頻電流轉化為空間電磁波;接收時,把從空間截獲的電磁波轉換為高頻電流送入接收機。對于設計一個應用于射頻識別系統的小功率、短距離無線收發設備,天線設計是其中的重要部分。良好的天線系統可以使通信距離達到最佳狀態。天線的種類很多,不同的應用需要不同的天線。在小功率、短距離的RFID系統中,需要一個通信可靠、價格低廉的天線系統,耦合線圈環型天線是比較常用的一種。
2.3.1 分析環型天線的等效電路
環型天線激勵點的電壓和電流由環的輸入阻抗聯系起來,即V=ZI0。為了評估用于天線諧振的電容Z′in,環型天線的輸入阻抗必須確定;同樣,為了評估天線效率和輻射阻抗,環型導體內的歐姆損耗和其他歐姆損耗也必須確定。
2.3.2 天線設計參數
環型天線輸入阻抗Zin可由下式給出:
![]()
式中,RR為輻射電阻;RL為環型導體損耗電阻;RX為額外歐姆損耗電阻;LA為環型天線電感;L1為環型導體電感。
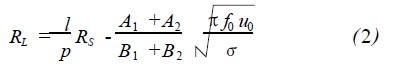
環型導體損耗電阻為:

式中,l為金屬環形導體長度,p為環形導體交叉部分的周長,RS為導體表面電阻,u0為4π×10-7H/m;σ為導體電導率;RL的單位為Ω。額外歐姆損耗電阻主要來自電容CP上的等效串聯電阻:

2.4 帶有天線的閱讀器的等效電路
產生交變磁場所需的導體回路由線圈L1表示,串聯電阻R1相當于導體回路L1中線繞電阻的歐姆損耗。為了當閱讀器的工作頻率為fTX時在導體回路L1中獲得最大電流,從而產生最大磁場強度H,經電容器C1串聯形成諧振頻率fRES=fTX的串聯諧振電路。
圖4中,閱讀器的發送器出口產生高頻電壓u2,接收器直接與天線線圈L1連接。串聯諧振電路的總阻抗Z1為各項單阻抗之和,即:

2.5 天線連接的匹配研究
根據閱讀器使用的頻率范圍,使用不同的方法將天線線圈連接到閱讀器發送器的輸出端。通過功率匹配將天線線圈直接連接功率輸出級,或通過同軸電纜饋送到天線線圈。天線線圈L1在射頻識別系統的工作頻率范圍內表現為阻抗ZL。為了實現與50Ω系統的功率匹配,必須通過無源的匹配電路將此阻抗轉換為50Ω,然后通過同軸電纜即可幾乎無損失且無輻射地將此功率從閱讀器末級傳送到匹配電路。
3 調試與測試
3.1 調試方法
電路在調試時,振蕩頻率可在0101Hz~500kHz內變化,必須調整振蕩頻率使與LM567的載波頻率實現最佳匹配,否則將影響后續電路的解調(例如振蕩頻率與LM567的載波頻率相差太近時將直接影響后續頻率的解調等),而單片機的振蕩頻率也將影響輸出波形,如果輸出不是矩形波則可能影響單片機對信號的識別,使反應時間變長或編譯出錯,所以對電路調試非常重要。LM567要順利實現相互調制與解調就必須對其進行調試,如果發射機正在工作,而接收機不能正確譯碼,則應調節定時電阻R8的阻值,使其符合要求。由于LM567的振蕩頻率(中心頻率)要求精度很高,在調節R8阻值時,應將R8電阻換為10kΩ多圈精密線繞電阻。此電阻每旋轉一周,電阻值變化幾十歐姆,精度較高。如沒有此電阻,也可用普通微調電阻代替但調整時要仔細。若條件許可,可將頻率計直接接在發射機的LM567第5腳與地之間,測其振蕩中心頻率,記下數值,然后再測接收機LM567第5腳頻率。如果接收機中心頻率(指LM567)與發射機LM567中心頻率不同,調節R8電阻值,使兩機音頻譯碼器中心頻率相等即可。
3.2 測試數據
測試數據時測試了00~FF的全部8位編碼(4位則一定沒問題),多次計算并測量了電源供給功率,對于耦合線圈的距離測試了1~6cm范圍內的數據傳輸,可保障5cm數據傳輸穩定。測試數據列表如下。

表1 測試數據列表
根據上述實驗測量結果可以看出,此系統實現了題目要求的全部基本功能和大部分發揮功能,并有自己的特色發揮功能,性能可靠穩定。
[page]
3.3 測試結果分析
3.3.1 系統波形數據測試
采取自上而下的調試方法,即單獨調好每一個模塊,然后連成一個完整的系統,再進行總體調試。數據發送和接收信號比較,如圖3所示。

圖3 數據發送和接收信號的比較
3.3.2 系統本身可能產生的誤差
(1)外界干擾因素
采用無線傳輸有一個十分突出的弊病,即容易受到電磁干擾及傳輸效果不佳的問題,由于外界高頻信號,金屬等很多器件都可能對電磁波產生干擾,所以電路難免產生錯誤
(2)距離干擾因素
電磁場在導電介質中傳播時,其場量E和H的振幅隨距離的增加而按指數規律衰減。從能量的觀點看,電磁波在良導體中衰減很快,把由導體表面衰減到表面的1/e(約3618%),即在文中規定距離為5cm的原因就在于此,由距離因素產生的亂碼及不可識別碼也是產生錯誤的原因之一。
4 程序流程圖
軟件編程運用單片機匯編語言,編輯軟件是Keil51,給出程序流程圖如圖4所示。

圖4 程序流程圖
5 結語
本系統的閱讀器可在6cm范圍內識別應答器的有無,若有應答器在監測范圍內,則給出明確的指示并讀取應答器預設的4位編碼,然后顯示;另外,應答器部分還可以通過開關設置4位編碼在閱讀器識別范圍內送出編碼信號。同時閱讀器還具有對應答器的編碼進行寫入的功能,由應答器接收并儲存。設計中重點是保證正確率,可以從軟件上增加校驗碼來提高無線傳輸的可靠率。




