【導讀】合適的設備概念應允許一定的設計自由度,以便適應各種任務概況的需求,而無需對處理和布局進行重大改變。然而,關鍵性能指標仍然是所選器件概念的低面積比電阻,與其他列出的參數相結合。圖 1 列出了一些被認為必不可少的參數,還可以添加更多參數。
合適的設備概念應允許一定的設計自由度,以便適應各種任務概況的需求,而無需對處理和布局進行重大改變。然而,關鍵性能指標仍然是所選器件概念的低面積比電阻,與其他列出的參數相結合。圖 1 列出了一些被認為必不可少的參數,還可以添加更多參數。
圖 1:必須與 SiC MOSFET 的性能指標(左)進行平衡的所選參數(右)
重要的驗收標準之一是設備在其目標應用的操作條件下的可靠性。與現有硅器件世界的主要區別在于,SiC 元件在更高的內部電場下工作。相關機制需要仔細分析。它們的共同點是,器件的總電阻由漏極和源極接觸電阻的串聯定義,包括靠近接觸的高摻雜區域、溝道電阻、JFET 區域的電阻以及漂移區電阻(見圖 2)。請注意,在高壓硅 MOSFET 中,漂移區明顯主導著總電阻;在 SiC 器件中,該部件可以設計為具有如上所述的顯著更高的電導率。
圖 2:平面 DMOS SiC MOSFET 草圖(左)和垂直溝槽 TMOS SiC MOSFET 以及電阻相關貢獻的相應位置
關于關鍵 MOSFET 元件 SiC-SiO 2界面,必須考慮與硅相比的以下差異:
與 Si 相比,SiC 具有更高的單位面積原子表面密度,從而導致懸空 Si- 和 C- 鍵的密度更高;位于界面附近的柵氧化層中的缺陷可能出現在能隙中,并充當電子的陷阱[1]。
熱生長氧化物的厚度很大程度上取決于晶面。
與 Si 器件相比(MV 而不是 kV),SiC 器件在阻斷模式下工作在更高的漏極感應電場下,這需要采取措施限制柵極氧化物中的電場,以維持阻斷階段氧化物的可靠性 [2 ]。另請參見圖 3:對于 TMOS,關鍵點是溝槽角,對于 DMOS,關鍵點是單元的中心。
由于勢壘高度較小,與 Si 器件相比,SiC MOS 結構在給定電場下表現出更高的 Fowler-Nordheim 電流注入。因此,界面 SiC 側的電場必須受到限制 [3,4]。
上述界面缺陷導致溝道遷移率非常低。因此,它們導致溝道對總導通電阻的貢獻很大。因此,SiC 相對于硅的漂移區電阻非常低的優勢由于高溝道貢獻而被削弱。克服這一困境的一種觀察到的方法是增加在導通狀態下施加在氧化物上的電場,或者用于導通的更高的柵極源極(V GS)偏置或者相對薄的柵極氧化物。所施加的電場超過了硅基 MOSFET 器件中通常使用的值(4 至 5 MV/cm,而硅中為 3 MV/cm)。導通狀態下氧化物中如此高的磁場可能會加速磨損,并限制篩選剩余的外在氧化物缺陷的能力[1]。
圖 3:左圖:平面 MOSFET(半電池)的典型結構,顯示了兩個關于氧化物場應力的敏感區域。右圖:溝槽 MOSFET(半電池)的典型結構,關鍵問題是溝槽拐角處的氧化物場應力。
基于這些考慮,很明顯,SiC 平面 MOSFET 器件實際上對氧化物場應力有兩個敏感區域,如圖 3 左側部分所示。首先,討論的是電場區域中反向模式的應力其次,靠近漂移區和柵極氧化物之間的界面,其次是在導通狀態下受應力的柵極和源極之間的重疊。
導通狀態下的高電場被認為更危險,因為只要必須保證導通電阻性能,就沒有采取任何器件設計措施可以減少導通狀態期間的場應力。英飛凌的總體目標是結合低 R DSon由 SiC 提供的工作模式使該部件在眾所周知的安全氧化物場強條件下運行。因此,我們決定放棄 DMOS 技術,從一開始就專注于基于溝槽的器件。遠離具有高缺陷密度的平面表面,轉向其他更有利的表面取向,可以在低氧化物場下實現低溝道電阻。這些邊界條件是轉移硅功率半導體領域建立的質量保證方法的基線,以保證工業和汽車應用中預期的 FIT 率。
圖 4:CoolSiCMOSFET 單元結構示意圖
CoolSiCMOSFET 單元設計旨在限制導通狀態和截止狀態下柵極氧化物中的電場(見圖 4)。同時,提供了具有吸引力的 1200 V 級特定導通電阻,即使在批量生產中也可以以穩定且可重復的方式實現。低導通電阻確保驅動電壓電平僅為V GS= 15 V 與足夠高的柵源閾值電壓(通常為 4.5 V)相結合,成為 SiC 晶體管領域的基準。該設計的特殊功能包括通過自對準工藝將通道定向為單一晶體取向。這確保了的溝道遷移率和窄的閾值電壓分布。另一個特點是深 p 溝槽在中心與實際 MOS 溝槽相交,以允許狹窄的 p+ 到 p+ 間距尺寸,從而有效屏蔽下部氧化物角。
靜態性能——象限操作
MOSFET 靜態輸出特性的關鍵參數是總電阻 R DS(ON)。CoolSiC? MOSFET 的典型導通電阻是在室溫下且 V GS = 15 V 時定義的(圖 5,左) 。閾值電壓 V GS_TH遵循器件的物理原理,并隨溫度下降,如右圖 5 所示。
圖 5:室溫和 175°C(左)下的 CoolSiC MOSFET 輸出特性(示例 45 mOhm 1200 V 型)以及 Ron 和 VGS_TH 對溫度的依賴性(右)
由于低溝道缺陷密度,導通電阻的正溫度系數(圖 5,右)使得這些器件注定用于并聯。這是與 DMOS 器件的另一個顯著區別,由于溝道中的缺陷密度較高,DMOS 器件通常表現出較弱的電阻對溫度的依賴性。
圖 6:MOSFET 導通電阻隨溫度變化的主要行為、Si 和 SiC 之間的比較以及阻斷電壓的影響
DMOS 的這個“功能”乍一看很吸引人,但實際上卻很吸引人。然而,隨著降低導通電阻的進展,漂移區物理上合理的溫度依賴性將越來越主導總導通電阻。因此,SiC MOSFET 將變得更像硅。然而,應該指出的是,即使在成熟狀態下,由于摻雜密度較高,SiC MOSFET 的實際溫度系數在相同阻斷電壓下也會低于硅器件。此外,由于漂移區對總電阻的貢獻不斷增加,對于較高的阻斷電壓,導通電阻的溫度依賴性將更加明顯。圖 6 總結了定性行為。
靜態性能——第三象限運行
與 IGBT 相比,CoolSiC? 器件等立式 MOSFET 通過體二極管(實際上是續流二極管)提供反向模式傳導。然而,由于SiC的帶隙,該二極管的拐點電壓相對較高(約3V),因此連續工作會導致較高的導通損耗。因此,必須使用眾所周知的同步整流概念。該二極管僅在很短的死區時間內工作(見上文部分)。在此周期之后,通過施加正 V GS(如象限模式)再次打開通道。
該操作方案在第三象限模式中提供非常低的傳導損耗,因為沒有拐點電壓達到與象限模式中相同的電阻。事實上,電阻甚至略低,因為現在反轉的電流方向的負前饋影響減少了 JFET 影響。圖 6 說明了第三象限操作(不同柵極電壓的 IV 特性)。請注意,由于采用 pn 二極管結構,還可以實現一定的脈沖電流處理能力(高于正向模式)。
圖 7:45 mOhm CoolSiC? MOSFET 的體二極管 IV 行為
動態性能
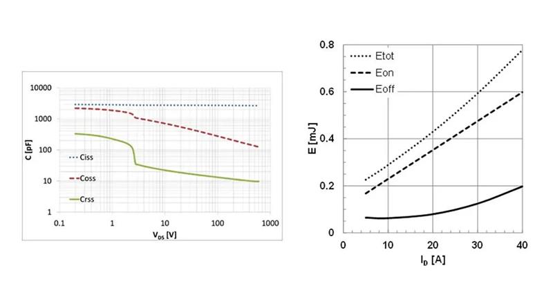
作為一種單極器件,SiC-MOSFET 的動態性能很大程度上取決于其電容。與輸入電容 C iss相比,該器件被設計為具有較小的柵漏極反向電容 C rss。這有利于抑制寄生導通,從而可以防止在半橋配置中運行時使用復雜的柵極驅動器電路。即使柵極電壓為 0 V,許多 CoolSiCMOSFET 產品也可以安全關斷,因為除了有利的電容比之外,閾值電壓也足夠高。圖 8(左)總結了器件總電容與溫度的關系。
圖 8:45 mOhm CoolSiC? MOSFET 的典型器件電容與漏極-源極電壓(左)和相關開關能量(右)與漏極電流的函數關系(VGS = 15 / -5 V,RGext = 4.5 Ω, VDS = 800V,Tvj = 175°
圖 8(右)顯示了安裝在 4 引腳 TO-247 外殼中的單個器件的半橋的典型開關損耗與漏極電流的函數關系。關斷能量 E off僅輕微依賴于負載電流,因為它主要由容量決定,而導通能量 E on隨電流線性增加,并主導總損耗 E tot。根據 2019 年中期的情況,應該強調的是,CoolSiC? MOSFET在商用 1200 V SiC MOSFET 中顯示出的 E on 。E開和 E關實際上與溫度無關。值得注意的是,實際外殼設計對開關損耗(主要是導通損耗)有重大影響。特別有效的是開爾文接觸的使用,它實際上將負載路徑與控制路徑在電流方面分開,因此有助于防止 di/dt 引起的柵極信號反饋環路增加動態損耗。
一般來說,必須僅在某些封裝中實現具有低電容和柵極電荷的快速開關 SiC 晶體管。主要標準包括由于高損耗功率密度而具有良好的熱性能(碳化硅當然會降低損耗,但其余損耗集中在非常小的區域)。另一個標準是低雜散電感,用于在沒有臨界電壓峰值的情況下管理高 di/dt 斜率。,特別是在具有更多并行芯片的多芯片封裝的情況下,基于帶狀線概念[5]的對稱內部模塊設計是強制性的。目前提供此類功能的模塊封裝包括英飛凌用于模塊的 EASY 平臺,或用于分立外殼的 TO247 系列(分別為 TO263-7)。
CoolSiCMOSFET 的柵極電荷曲線通常與硅功率器件的典型形狀不同;特別是,沒有明顯可見的米勒平臺,如圖 9 左所示。當 I D = 30 A、V DS = 800 V 且 R G = 3.3 kΩ、V GS(off) =-5 V 至 V GS(on) = 15 V 時,總柵極電荷 Q tot通常為 75 nC。
圖 9:45 mOhm 1200 V CoolSiC? MOSFET 的典型柵極電荷曲線(左)和通過 Rg 控制開關速度的能力(右)
在許多情況下,可能需要調整開關速度 (dv/dt) 以應對振蕩等問題。MOSFET 的優點之一是通過柵極電阻器調整斜率的簡單方法。結合正確的驅動電路,甚至可以實現不同的開啟和關閉。右側圖 9 顯示了 Infineon 45 mOhm 1200 V CoolSiC? MOSFET 的相應行為。
圖 10 描繪了 TO-247 4 引腳和 TO-247 3 引腳中的 45 mOhm 1200 V CoolSiC? MOSFET 在 V DS = 800 V 直流電壓下的短路波形,這與 IGBT 有很大不同。初,漏極電流快速增加并達到峰值電流水平。由于采用開爾文源設計的快速導通,TO-247 4 引腳電流上升更快,并且在 SC 事件開始時自發熱較少,峰值電流超過 300 A,而 TO-247 3腳峰值電流較小。主要原因是 di/dt 對所施加的 V GS引起的負反饋對于 3 針設備。由于開爾文連接解決方??案消除了這種效應,從而實現更快的切換,因此在飽和效應發生之前,4 引腳器件的電流也可以上升到更高的值。
峰值電流后,漏極電流顯著降低至約 150 A。這是由于隨著溫度升高和自加熱,載流子遷移率和 JFET 效應降低。測試波形顯示出清晰、穩健的行為,證明了封裝 TO-247 CoolSiC? MOSFET 和電源模塊的典型 3 ?s SC 能力(根據相關目標應用要求,目前為 2 ?s)。英飛凌的 CoolSiC? MOSFET 是數據表中首款具有保證短路功能的器件。
圖 10:典型短路與 25°C 下持續時間的關系(左);1200 V 設備的雪崩行為,60 V 時關閉 3.8 5 mH 的未鉗位感性負載(右)
新的 650 V 級器件在數據表中附有雪崩額定值,以滿足目標應用電源的要求。總體而言,CoolSiC? MOSFET 技術在雪崩下表現出高耐用性;圖 10 右側描述了 1200 V 組件的典型行為
FIT 率和柵極氧化物可靠性
除了性能之外,可靠性和耐用性也是 SiC MOSFET 討論多的話題。耐用性定義為設備承受某些異常應力事件的能力,例如短路性能或脈沖電流處理能力。可靠性涵蓋了設備在目標應用壽命期間標稱工作條件下的穩定性。與可靠性相關的影響包括某些電氣參數的漂移或災難性故障。對于硬故障,量化通常以 FIT 率的形式進行,它實際上說明了在特定時期內允許有多少特定類型的設備發生故障。如今,高功率硅器件的 FIT 率主要受宇宙射線效應影響。
對于 SiC,由于前面討論的氧化物場應力,需要考慮柵極氧化物可靠性的額外影響。因此,如圖 11 所示,總 FIT 率是宇宙射線 FIT 率和氧化物 FIT 率之和。對于宇宙射線穩定性,可以應用類似的方法,例如硅領域的典型方法。這里,FIT率是針對某種類型的技術通過實驗獲得的,并根據結果結合應用目標,可以實現滿足FIT率的設計,通常通過優化漂移區的電場分布來實現。對于氧化物 FIT 率,需要采用篩選過程來降低 FIT 率,因為與硅相比,SiC 中的缺陷密度仍然相當高(就英飛凌的 Si 功率器件而言,
圖 11:SiC MOSFET 情況下的 FIT 率構成
例如,SiC MOS 器件的柵極氧化物可靠性面臨的挑戰是,在工業應用的給定操作條件下(如目前的 IGBT),保證失效率小于 1 FIT。由于SiC和Si上的SiO 2的內在質量和性能幾乎相同,因此相同面積和氧化物厚度的Si MOSFET和SiC MOSFET可以在相同時間內承受大致相同的氧化物場(相同的固有壽命)。當然,這僅在器件不包含與缺陷相關的雜質(即外在缺陷)的情況下才有效。與 Si MOSFET 相比,SiC MOSFET 柵極氧化物中的外在缺陷密度要高得多。
與沒有缺陷的設備相比,具有外在缺陷的設備更容易損壞。無缺陷的設備會在很晚之后由于內在磨損而失效。通常,如果本體氧化物厚度足夠,則在正常應用條件下,固有故障時間要少得多。因此,典型芯片壽命內的氧化物 FIT 率完全由外在缺陷決定。
保證碳化硅MOSFET柵極氧化物足夠可靠性的挑戰是減少受外在缺陷影響的器件數量,從工藝結束時初的高數量(例如1%)減少到產品交付時可接受的低數量。運送給客戶(例如 10 ppm)。實現這一目標的一種行之有效的方法是應用電氣屏蔽 [2]。
在電氣篩選過程中,每個器件都會受到柵極應力模式的影響。選擇應力模式來破壞具有嚴重外在缺陷的器件,而沒有外在缺陷或僅具有非關鍵缺陷的器件則能夠幸存。未通過篩選測試的設備將從分配中刪除。這樣,潛在的可靠性風險就轉化為良率損失。
為了能夠在足夠高的應力水平下對器件進行應力測試,體柵氧化物需要具有指定的厚度。如果柵極氧化物厚度太低,器件要么在篩選過程中因磨損而本質上失效,要么在篩選后顯示出降低的閾值電壓和溝道遷移率。因此,所需的標稱氧化物厚度遠高于實現有效柵極氧化物篩選的固有壽命目標通常所需的厚度。不幸的是,較厚的柵極氧化物會增加閾值電壓,并降低給定V GS(on)下的溝道電導。柵氧化層 FIT 率和器件性能之間的權衡如圖 12 所示,并且也在 [6] 中進行了討論。
圖 12:柵極氧化物厚度和柵極電壓對故障概率和通態特性的影響(650V 器件的 Rdson 數據)
英飛凌投入了大量的時間和材料樣品來開發有關 SiC MOSFET MOS 可靠性的完整圖片。例如,我們使用不同正負柵極應力偏置下的三個單獨應力運行,在 150°C 下測試了電屏蔽 SiC MOSFET 的通態可靠性 100 天。每個樣品組由 1000 件組成。圖 13 顯示了不同柵極氧化物工藝條件的結果,概述了終發布工藝的技術改進。使用初始處理條件,在推薦柵極偏壓 30V 的兩倍下,1000 個器件中不到 10 個器件出現故障。所實施的技術進步將這一數字減少到 30 V 時只有 1 次故障,25 V 和 -15 V 時零次故障。剩下的 1 次故障仍然是外部故障,
當然,除了通態氧化物可靠性之外,評估斷態氧化物應力也很重要,因為 SiC 功率器件中的電場條件更接近 SiO 2的極限優于硅功率 MOS 元件。關鍵策略是通過正確設計深 p 區來有效屏蔽敏感氧化物區域。屏蔽效率又是導通電阻和可靠性之間的權衡。對于溝槽MOSFET,深p區在MOSFET溝道區下方形成類似JFET的結構,可以有效促進屏蔽[7]。該 JFET 為導通電阻添加了一個附加組件,該組件主要取決于埋入式 p 區之間的距離和摻雜。這種屏蔽結構設計特征對于避免關斷狀態下柵極氧化物退化或柵極氧化物擊穿至關重要。
為了驗證 CoolSiC? MOSFET 的斷態可靠性,我們在 150°C、V GS = -5 V 和 V DS = 1000 V 的條件下對 5000 多個 1200 V SiC MOSFET 進行了為期 100 天的壓力測試。這些條件對應于工業應用任務概況的關鍵點。由于所施加的漏極電壓相對于器件的擊穿電壓的限制,進一步加速是非常困難的。在更高的漏極電壓下運行測試將會導致結果錯誤,因為其他故障機制(例如宇宙射線引起的故障)將變得更有可能。結果是,在這次斷態可靠性測試中,沒有一個受測設備出現故障。由于 650 V 設備遵循與 1200 V 設備相同的設計標準,因此預計具有相同的可靠性。
免責聲明:本文為轉載文章,轉載此文目的在于傳遞更多信息,版權歸原作者所有。本文所用視頻、圖片、文字如涉及作品版權問題,請聯系小編進行處理。
推薦閱讀:





