【導讀】本文提出了一種結構新穎的寬帶TEM喇叭天線,滿足電磁兼容(EMC)測量設備對寬頻帶天線的需求。天線輻射結構采用了上下對稱的雙指數漸變復合結構的金屬板,使得天線的諧振模式大大增加,從而拓展帶寬天線,然后通過巴倫結構與同軸線匹配饋電,降低輸入端不平衡饋電造成的強反射。具有寬帶和良好的輻射性能,在EMC測量具有廣泛的應用前景。
經過結構尺寸的仿真優化,天線尺寸為0.356λ×0.15λ×0.2λ(λ為最低工作頻率對應波長)。在0.3GHz-10GHz頻率范圍內,天線的電壓駐波比基本低于2,具有超過30個倍頻程的良好的寬帶特性。并且在工作頻率范圍內,天線輻射方向圖穩定,增益高。
一、引言
電磁兼容(EMC)作為電氣科學的分支,是主要研究系統發射、傳播和接收過程中的出現的電磁干擾能量并且分析和解決這些能量可能產生的不良影響的一門學科。EMC的研究是現代電子科技發展的必要條件。在EMC工程應用中,測試頻率范圍需求越來越寬,因此EMC測試對天線的寬帶性能期望也越來越高[1]。符合寬帶性能要求的天線結構通常為:喇叭天線,對數周期天線,雙錐天線等。
喇叭天線由于其結構簡單,具有高增益和寬帶特性而廣泛應用于EMC測量天線。其中TEM喇叭天線因為具有更簡單的結構,更易于激勵而得到了廣泛的重視[2,3]。對于TEM喇叭天線的研究,一直以來都收到人們關注。M.Kanda通過研究阻抗加載對TEM喇叭天線的影響,使得天線帶寬得以通過阻抗加載展寬[4]。A. S. Turk等人通過在天線加載介質以及采用形狀獨特的金屬平板來提高TEM喇叭天線的帶寬[5]。本文提出了一種輻射部分為對稱雙漸變復合結構金屬板的寬帶TEM喇叭天線,并且通過CST建模和仿真優化,最終設計出具有良好寬帶特性和高增益性能的天線。
二、天線設計
A. TEM喇叭天線工作原理
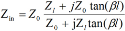
傳統的TEM喇叭天線一般由兩個具有一定張角的平面三角金屬板和饋電部分組成。其工作原理可以用平行傳輸線的模型來闡釋。如果把平面金屬板分成足夠小的N段區域,等效為N段短平行傳輸線,每段區域近似為平行的具有不同寬度的短金屬板,如圖1所示。那么,從饋電端開始,每一段區域的輸入輸出阻抗可以通過公式(1)表示[6]:
其中Zin為輸入阻抗,Zout為輸出阻抗,l為傳輸線長度, Z0為傳輸線特性阻抗,β為傳輸線波數。

圖1. 漸變傳輸線模型
饋電端阻抗一般為50Ω或者75Ω,因此為了匹配延伸向自由空間的口徑阻抗120πΩ,天線的平面金屬板需要具有一定漸變結構,即每一段區域的金屬板寬度和金屬板間距應隨距離的延伸而逐漸變化,因此對金屬板的尺寸以及金屬板仰角的選取就成了決定天線阻抗帶寬的重要因素。
B.寬帶TEM喇叭天線設計
本文設計的寬帶TEM喇叭天線主要由同軸饋電和輻射金屬板兩部分組成:饋電部分為同軸饋電線,通過巴倫結構匹配到天線輻射金屬板;輻射部分為上下對稱的雙漸變復合金屬板,通過優化設計漸變結構展寬天線帶寬。
對于一個通帶內阻抗幾乎恒定的TEM喇叭天線,通常存在的問題是輸入端不平衡饋電造成的強反射。為了避免和減少這些反射,在TEM喇叭天線的輸入端應該通過巴倫結構來實現阻抗變換,使天線與饋電線在通帶內阻抗匹配。本文天線設計的橢圓漸變線巴倫結構如圖2.(a)所示,同軸線內芯通過梯形漸變結構饋入天線上半部分的金屬板,同軸線的外皮通過橢圓漸變線結構過渡到天線下半部分的金屬板饋入端。
輻射金屬面的漸變結構使得TEM喇叭天線口徑阻抗平穩過渡到輸入端口,本文采用了兩種漸變結構不一致的復合結構金屬板,使得天線的諧振模式大大增加,從而拓展帶寬。同時,根據八木天線原理,漸變緩慢的金屬板相對漸變強烈的金屬板能提供引向器的作用,同理漸變強烈的金屬板相對漸變緩慢的金屬板相當于反射器,從而提高TEM喇叭天線的定向性。
在電磁仿真軟件CST對本文的寬帶TEM喇叭天線建模,如圖2所示,金屬板材料設為PEC,饋電端口為波端口。漸變金屬板的輪廓曲線可以由式(2)表示。其中,h表示輻射金屬板距離天線中心線的高度,W表示輻射金屬板寬度,這兩個參數都隨天線延伸長度變化而變化。t和t1為輻射金屬板向口徑面延伸的長度,A、B、C、D、t為漸變緩慢金屬板的輪廓曲線參數,A1、B1、C1、D1、t1為漸變強烈金屬板的輪廓曲線參數。本設計中,高度變化曲線表現為指數增長,寬度變化曲線表現為線性增長。為了得到合適的天線阻抗帶寬和增益,對天線結構尺寸進行仿真優化,最終得到天線結構的主要參數見表1。
(2)0mm≤t≤200mm,0mm≤t1≤150mm
表1:


(a)天線立體圖

(b)天線正視圖(左)和側視圖(右)
圖2. 天線結構圖
經過CST仿真軟件對天線參數的優化,天線的電壓駐波比(VSWR)如圖3所示。可以看到,天線幾乎在0.3GHz-10GHz整個頻帶范圍內VSWR<2,倍頻程達到33.3。天線之所以具有如此寬的阻抗帶寬,是由于指數漸變金屬板結構使得饋源端口阻抗平穩地逐段區域匹配到喇叭口徑面阻抗,使電磁波能良好地通過輻射到自由空間。同時復合漸變結構也增加了TEM喇叭天線的諧振模式。對于輸入端口來說,在工作頻帶內,由于天線的漸變匹配結構,天線輸入阻抗近似恒定。

圖3. 回波損耗曲線圖
本文寬帶TEM喇叭天線在2.5GHz,5GHz,7.5GHz三個頻點的立體輻射方向圖如圖4所示。天線展現出穩定的輻射方向圖性能,在各仿真頻點下,增益能達到11dBi,后瓣電平低。并且基本上隨著工作頻率升高,天線增益越高。傳統的TEM喇叭天線由于不平衡饋電問題,很容易造成方向圖畸變。本文天線通過橢圓漸變線巴倫結構,使得天線輻射部分平衡饋電,減弱了這一影響。同時,復合金屬板結構使得天線的定向性進一步提高。

(a)2.5GHz

(b)5GHz

(c)7.5GHz
圖4 天線立體輻射方向圖
四、總結
本文根據EMC測量設備對超寬帶天線的需求,提出了一種新穎的寬帶TEM喇叭天線。天線輻射部分為指數漸變結構,口徑面尺寸約為365mm×150mm,徑向長度為200mm。通過橢圓線漸變巴倫結構和指數漸變結構的輻射金屬板,天線饋電端阻抗能夠與自由空間阻抗平穩匹配,并且由于雙漸變結構的復合提高了諧振模式,使天線在0.3GHz-10GHz工作頻率范圍內電壓駐波比小于2,分數帶寬大于18.8%,倍頻程大于30個。同時,天線的四金屬板結構提高天線的增益和方向圖穩定性。最終天線具有高增益特性,各頻點下輻射方向圖穩定。
文章來源于微波射頻網。
【推薦閱讀】
如何防護電磁輻射,對人體健康到底有沒有危害?
掌握集成電路封裝的特征能讓EMI達到最佳抑制性能?
EMC測試中為什么往往垂直極化的測試結果大于水平極化?
成功設計印制電路板的七大技術要素
PCB設計軟件未來5-10年發展方向預測




