【導讀】QFN是一種焊盤尺寸小、封裝體積小、以塑封材料組成的表面貼裝芯片封裝技術。由于其底部中央的一大塊裸露焊盤被焊接到PCB的散熱焊盤上,使得QFN具有極佳的電熱性能。另外,在中央焊盤的封裝外圍有實現電氣連接的導電焊盤,這種封裝特別適合任何一個對尺寸、成本和性能都有要求的應用場景,從而被市場上廣泛使用。隨著目前5G應用的頻率逐漸升高,QFN封裝中Wirebond結構對電路性能的影響也越來越明顯,因此需要借助電磁場仿真技術提前對QFN封裝的電性能進行預判。
本文介紹了眾多5G基站、移動終端公司正在采用的QFN封裝仿真流程,涉及到芯和半導體的Hermes 3D工具。Hermes 3D非常擅長對芯片封裝和PCB進行信號完整性分析,評估信號通路中阻抗不連續性結構對通道中信號完整性帶來的影響,它支持市面上所有封裝和PCB設計文件格式的導入,并利用接近業界黃金標準的FEM3D求解器實現S參數的快速提取和分析,其高效的建模流程和精準的仿真引擎能極大地提高工程師評估封裝性能指標優化的效率。
QFN封裝三維建模和仿真流程
1 模型導入
打開Hermes 3D,在Modeling>Design中選擇Lead Frame。導入dxf的設計格式文件后進入到Lead Frame配置界面,如圖1所示。

圖1 Lead Frame 配置界面
2 Cross Section設置
在Lead Frame界面中點擊Cross section圖標,可以進入到Cross section設置界面。在此設置頁面中可以依次對Mold、Die、Lead Frame以及Wirebond結構設定厚度材料等信息,如圖2所示。

圖2 Cross Section 設置
3 建立各層對應關系
在Cross Section Name欄完成和DXF設計文件中Layer Name的對應層關系,選擇對應的Lead Frame結構名稱,就可以完成DXF中各個元素的建模。在圖3中,從右下角生成的3D結構示意圖可以檢查生成的模型是否準確無誤。

圖3 完成QFN封裝3維建模
4 添加 Port
Hermes3D支持用戶添加多種類型的port,例如在芯片端添加Annular port;在引線框架上添加lumped port。在右側nets列表中選擇要仿真的網絡,右鍵選擇Add Port,彈出Generate Ports窗口,可以在芯片端選擇添加Annular port類型,如圖4所示。用edge選擇模式,在引線框架上選擇要創建的信號和參考地的邊,點擊右鍵,選擇Port->Add Edge Lumped Port;添加好的lumped port如圖5中綠色的平面所示。

圖4 添加Annular port

圖5 添加Lumped port
5 添加 FEM3D 仿真設置
在工程樹形菜單Analysis中右鍵選擇Add FEM3D Analysis,點擊Solver Option,可按照如下方式進行求解掃頻設置,如圖6所示。

圖6 仿真設置
6 查看仿真結果
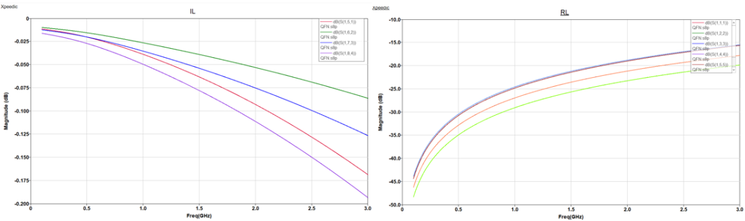
待仿真結束之后,結果以樹型結構的形式呈現在工程樹Results菜單下方,并且可以使用SnpExpert工具打開仿真結果,進行查看,如圖7所示。

圖7 查看仿真結果
總結
由于產品小型化的要求,后摩爾時代,越來越多的芯片企業開始重視封裝形式的研發。本文介紹眾多5G基站、移動終端企業所采用的QFN封裝仿真流程,涉及到芯和半導體的Hermes3D軟件。Hermes3D專注于評估在IC和封裝以及PCB的互連中的寄生帶來的相互作用,其高效的建模流程和精準的仿真引擎能極大地提高工程師評估封裝性能指標優化的效率。
免責聲明:本文為轉載文章,轉載此文目的在于傳遞更多信息,版權歸原作者所有。本文所用視頻、圖片、文字如涉及作品版權問題,請聯系小編進行處理。
推薦閱讀:





