中心議題:
- 雙向可控硅TRIAC調光原理
- 可控硅調光的LED驅動電源設計
解決方案:
- 可控硅調光的LED驅動電源設計
1 雙向可控硅TRIAC調光原理
市面上大多數可控硅調光器基本結構如圖1所示,其工作原理如下:當交流電壓加雙向可控硅TRIAC兩端時,由于Rt、Ct組成的RC充電電路有一個充電時間,電容上的電壓是從0V開始充電的,并且TRIAC的驅動極串聯有一個DIAC(雙向觸發二極管,一般是30V左右),因此TRIAC可靠截止。當Ct上的電壓上升到30V時,DIAC觸發導通,TRIAC可靠導通,此時TRIAC兩端的電壓瞬間變為零,Ct通過Rt迅速放電,當Ct電壓跌落到30V以下時,DIAC截止,如果TRIAC通過的電流大于其維持電流則繼續導通,如果低于其維持電流將會截止。電感L和電容C的作用是減小電流和電壓的變化率,以抑制電磁干擾EMI問題。

可控硅前沿調光器若直接用于控制普通的LED驅動器,LED燈會產生閃爍,更不能實現寬范圍的調光控制。原因歸結如下:
(1)可控硅的維持電流問題。目前市面上的可控硅調光器功率等級不同,維持電流一般是7~75mA(驅動電流則是7~100mA),導通后流過可控硅的電流必須要大于這個值才能繼續導通,否則會自行關斷。
(2)阻抗匹配問題。當可控硅導通后,可控硅和驅動電路的阻抗都發生變化,且驅動電路由于有差模濾波電容的存在,呈容性阻抗,與可控硅調光器存在阻抗匹配的問題,因此在設計電路時一般需要使用較小的差模濾波電容。
(3)沖擊電流問題。由于可控硅前沿斬波使得輸入電壓可能一直處于峰值附近,輸入濾波電容將承受大的沖擊電流,同時還可能使得可控硅意外截止,導致可控硅不斷重啟,所以一般需要在驅動器輸入端串接電阻來減小沖擊。
(4)導通角較小時LED會出現閃爍。當可控硅導通角較小時,由于此時輸入電壓和電流均較小,導致維持電流不夠或者芯片供電Vcc不夠,電路停止工作,使LED產生閃爍。
2 一種可控硅調光的LED驅動電源
線性調光存在的問題,即人眼在低亮度情況下對光線的細微變化很敏感;而在較亮時,由于人眼視覺的飽和,光線較大的變化卻不易被察覺。并提出了利用單片機編程來實現調光信號和調光輸出的非線性關系(如指數、平方等關系)的方法,使得人眼感覺的調光是一個線性平穩過程。文中設計的電路利用RC充放電電路來實現這一功能。
圖2是一種利用普通的脈寬調制PWM芯片結合外圍電路來搭建可控硅調光的LED驅動電路框圖。維持電流補償電路通過檢測R1端電壓(即輸入電流)來控制流過維持電流補償電路的電流。當輸入電流較小時,維持電流補償電路上流過較大的電流;當輸入電流較大時,維持電流補償電路關斷,維持電流補償以恒流源的形式保證可控硅的維持電流。調光控制電路包括比較器、RC充放電電路和增益電路。實驗中選用一款旋鈕行程和斬波角成正比的可控硅調光器,其最小導通角約為30°。
[page]
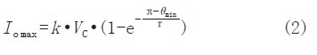
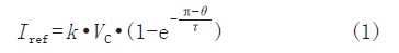
根據圖2中,RC充放電電路的輸出經過增益電路后可得電流參考為:
![]()
式中k為增益,VC為RC充放電電路的輸入電壓,τ為RC的時間系數,θ為可控硅的導通角。
則在最小導通角對應的輸出為零,即電路輸出的最大值對應電流參考的最大值:

從式(1)和式(2)可得輸出電流表達式如式(3)所示,輸出電流在不同RC時間系數下隨可控硅導通角之間的關系如圖3a)所示。

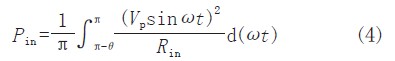
在斬波角為θ時,電路對應的輸入功率為:

式中Vp為輸入電壓峰值,Rin為等效輸入阻抗。
假設電路的變換效率為η,且電路的輸出功率為PO=IO·UO,則可得到電路的等效輸入阻抗如式(5)所示。

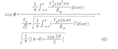
從式(5)可得電路的功率因數如式(6)所示,功率因數隨可控硅的導通角的關系如圖3b)所示。

3 實驗及結果
根據以上分析,本文設計一臺基于反激變換器的可控硅調光LED驅動器,控制芯片為NCP1607;輸入交流電壓220V,最大輸出功率為25W,最大輸出電流為0.7A;以3串(每串10只0.8W的LED燈)相并聯作為負載;RC時間系數選擇0.5,增益為0.2。電路的實驗波形和工作特性曲線如圖4所示。
[page]

圖4a)、b)、c)為可控硅導通角為115°時阻抗匹配開關驅動電壓VZ、輸入電流Iin、輸入電壓Vin的波形,電路的輸出電流為470mA,功率因數為0.78。從圖中可看出,當可控硅導通瞬間,由于驅動器輸入端有差模濾波電容導致輸入電流有沖擊電流尖峰,而當輸入電流小于一定值時,阻抗匹配開關開通以保證流過可控硅的電流大于其維持電流。

圖4d)為可控硅不同導通角對應的輸出電流曲線,實際調試中可控硅導通角在150°之后就接近滿載輸出了。圖4e)為可控硅在不同導通角下對應電路的cosφ曲線。
4 結語
本文分析了現有可控硅調光器用于LED驅動時存在的問題,并根據人眼對光線反應非線性的特點,設計了一種利用普通PWM芯片結合外圍電路搭建的可控硅非線性調光LED驅動電路,分析了電路在調光過程中的工作特性,實驗結果實現0~100%平穩無閃爍調光。





