中心論題:
- LLC三元件諧振網絡
- 零電壓半橋諧振控制器——TEA1610
- 用TEA1610構建LLC諧振變換器
解決方案:
- LLC三元件諧振網絡全負載范圍內都具有較高的轉換效率,而且頻率變化范圍比較窄
- 用TEA1610構建LLC諧振變換器
近代電子設備的發展,對開關電源提出了諸如高頻、小型化、低噪聲以及高功率密度等方面的要求。諧振型開關電源由于不存在硬開關而具有效率高、EMI小等特點,逐漸成為人們的研究熱點。于是,準諧振、諧振開關、全諧振等結構應時而生。在針對減少開關損耗和降低噪聲采取的各種方法中,負載參與諧振的全諧振結構是近十年來的研究熱點。本文在分析LLC諧振特性的基礎上,用Philips公司的TEA1610構建一種基于半橋的LLC負載諧振變換器。
LLC三元件諧振網絡
用兩個元件組成的諧振拓樸結構主要有兩種:并聯結構和串聯結構,分別如圖1(a)和圖1(b)所示。串聯諧振在輕負載時具有較高的效率,而在滿負載時轉換效率比較低;并聯諧振則反之,在滿負載時具有較高的轉換效率,而在輕負載時轉換效率比較低。而且串聯諧振和并聯諧振都要求較寬的頻率范圍。因此,這種二元的諧振網絡在實際應用中都有一定的限制。
在二元件諧振網絡的基礎上,根據不同的應用可構建不同種類的三元件的諧振網絡。三元件諧振網絡與二元件諧振網絡相比有很多優點,比如在全負載范圍內都具有較高的轉換效率,而且頻率變化范圍比較窄等。本文主要介紹和分析由三元件LLC構成的諧振網絡,其結構如圖2(a)所示。


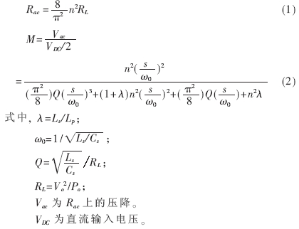
串聯電感Ls、并聯電感Lp和諧振電容Cs組成LLC諧振網絡,在此必須注意到負載也參與了諧振。對其進行建模,LLC簡化模型如圖2(b)所示,Ra c為副邊的負載折算到原邊的等效負載,折算公式見式(1)。因為原邊輸入電壓為方波,電流為近似正弦波,而變壓器輸出電壓也是方波,電流也是正弦波,因此可以推導出其電壓傳遞函數,如式(2)所示。

利用Matlab對該模型進行仿真,采用基波進行近似分析,可以初步分析出其工作特性,如圖3所示。

從圖3中可以看到,在整個頻率范圍內,既有降壓的工作區域(M<1),也有升壓的工作區域(M>1),因此LLC諧振有著較為廣闊的應用范圍。在輕負載時,工作頻率逐漸升高,工作在降壓區域內;而在重負載時,工作頻率逐漸降低,工作在升壓區域內。眾所周知,串聯諧振的工作區域是Fs/Fo>1,才能工作在ZVS的狀態下。從圖3中可以看到,在不同負載(即Q不同)下,為獲得ZVS的工作條件,只要使之工作在虛線的右側即可。而LLC諧振不僅僅局限于Fs/Fo>1區域,在某些負載下可以工作在Fs/Fo<1區域,同樣可以獲得零電壓轉換的工作狀況。并且與串聯諧振相比,在不同負載時的頻率變化范圍更小。因此,LLC諧振網絡有著其自身獨特的優點。
通過上面的分析知道,LLC諧振網絡需要兩個磁性元件Ls和Lp。然而,在實際應用中,考慮到高頻變壓器實際結構,可以把磁性元件Ls和Lp集成在一個變壓器內,利用變壓器的漏感作為Ls,利用變壓器的磁化電感作為Lp。這樣一來,可以大大減少磁性元件數目。在設計時,只要重點設計變壓器的漏感與變壓器磁化電感即可。因此,為增加漏感,需要在變壓器中加入適當的氣隙,并且控制變壓器原副邊的繞線方式,如圖4所示。因為變壓器的原邊繞組與副邊繞組是完全分離的,因此無須使用隔離膠帶,這樣有助于形體的小型化。

零電壓半橋諧振控制器——TEA1610
TEA1610是Philips公司推出的零電壓全諧振半橋控制器,是采用高壓DMOS工藝的芯片,高側開關管的驅動耐壓最大可達600V,最大的振蕩頻率達1MHz。其內部結構如圖5所示。

TEA1610內部具有電平抬升電路,可以直接驅動上橋開關管;具有一個電流控制的振蕩器,用來產生精確的振蕩頻率;為精確保證50%占空比,振蕩信號是在經過觸發器后送到開關管的驅動極;內部具有死區補償電路,通過外部電路可以控制死區時間;它還有一個關斷管腳SD,當該管腳上的電壓超過2.33V時,TEA1610進入關機模式,切斷開關信號。此時,只能使VDD的電平低于5.3V才能重新啟動。因此,可以利用該管腳添加一些保護電路。
為消除在啟動瞬間的尖鋒電流,TEA1610還具有軟啟動功能。在啟動時,VCO輸出一個固定電平2.5V,利用該固定電平可以抬高起始振蕩頻率,從而避免啟動瞬間的過電流。
用TEA1610構建LLC諧振變換器
LLC諧振變換器原理圖如圖6所示。根據第二節中介紹的方法制作變壓器,采用原副邊分開繞制的方法增加漏感,利用該漏感作為諧振電感,控制漏感為68μH,原邊電感量為320μH。圖中Cr為諧振電容,一般選用聚丙烯類電容,在該電路中選用47nF/1kV。C13和C17為實現開關管零電壓關斷的吸收電容,在此選用470pF/1kV。C18為振蕩電容,需要根據所設定的頻率進行調整,在此選用220pF。電阻R11為死區調整電阻,而R16為設定最小工作頻率的電阻。R14為設定啟動頻率的電阻,并且可以在該電阻上并聯一個100nF的電容來實現軟啟動。因為TEA1610內部具有一個電平抬升電路,所以只需要外接一個小電容就可以實現直接驅動開關管Q1。在完成高壓啟動后,輔助繞組接管TEA1610的VDD,并且利用輔助繞組和TEA1610的SD管腳實現過壓檢測及其它保護。

實驗結果
用TEA1610構建的一個LLC諧振變換器,輸出+/-26V,總功率為200W。由無負載狀態起至額定負載止的頻率控制范圍介于80kHz~150kHz之間,圖7(a)顯示了在空載150kHz時的電流三角波波形。副邊采用肖特基二極管作為整流二極管時,在滿負載的狀況下,其效率可以達到90%以上,在半載情況下效率達到88%。這是因為在該變換器中,不存在開關損耗,只有導通損耗,如圖7(b)所示。在開關管開通時,電流流過其體二極管,此時開關管上的壓降只有1V左右,基本上是零電壓開通;在開關管關斷時,通過開關管上并聯一個電容來實現零電壓關斷。此時,導通損耗和副邊整流二極管成為影響其效率的主要因素,當輸入電壓較低或輸入電流較大時,由于主開關管內所導通的電流增多,會導致其效率的降低。由于變壓器的一次側和二次側之間由繞線軸架予以隔開,所以變壓器的泄漏磁通比較多,電線容易受泄漏磁通及鄰近效應的影響而發熱,致使效率降低,因此原邊的繞組應采用較細線徑為好。

圖7(c)和圖7(d)是在200W負載時原邊電壓和電流波形。從圖中可以看到原邊電流波形幾乎是正弦波,副邊電流同樣是正弦波。由于在開關管內不存在硬開關,其dV/dt和dI/dt都比較小。因此,該變換器的EMI得到了很大的改善。
另外,一般的高頻變壓器要求一次側和二次側具有較好的耦合。這樣,一次側和二次側間的寄生電容介于50~100pF之間。而LLC諧振變壓器則采用一次側和二次側完全分開的方式,變壓器的寄生電容甚小,一般小于10pF。因此其傳導干擾會更小。
本文分析了LLC諧振網絡的工作特性并闡述了LLC諧振網絡變換器的變壓器的設計方法,同時簡單介紹了Philips公司的諧振控制器TEA1610。最后用TEA1610構建了一個200W半橋諧振變換器。實驗結果表明,采用基于LLC諧振網絡的半橋變換器具有EMI小、效率高等優點,與PWM控制變換器相比有著其獨特的應用領域。






