- 如何降低待機功耗
- 新型電源架構和控制技術的介紹
- 帶準諧振控制或谷值電壓開關
- 跳脈沖的反激式變換器
這些新標準概括了對電源的要求,以在不同的工作模式下進行更好的能源利用。為了符合這些新的節能要求,準諧振控制和谷值電壓開關(Valley-VoltageSwitching)等技術,以及包括跳脈沖(pulse-skipping)在內的多模式工作模式越來越受到行業的關注。其高效性證明了這些技術可以實現AC/DC轉換器從空負載到滿負載模式優化的效率提高和功耗降低。越來越多的綠色模式IC采用了這些技術以控制不同拓撲結構的轉換器。
降低待機功耗
當前越來越多的AC/DC電源轉換器具有取代真實物理電源開關的待機模式。也就是說,在它們的主要功能不工作的時候,電氣設備仍存在功耗。最常見的待機功耗出現于諸如使用遙控的電視機和視頻設備、無繩電話和無線路由器等具有外部低壓電源的電子設備、復印機和打印機等辦公設備,以及用于膝上型電腦的電池充電器等設備的應用。待機模式下單個轉換器的實際功耗很小,通常是0.3到20W。然而,待機功耗每時每刻都在發生,且此類設備數量眾多,因此全球范圍內的待機功耗是以指數級快速上升的。若將所有功耗匯總起來,則這些很低的功耗數值將相當可觀。據估計,在歐盟待機功耗已經占了家庭和辦公用電量的10%,在美國大約占總用電量的4%。
為了降低待機功耗并提高整體負載范圍,國際上正在制訂新的標準。其中,美國環保總署(EPA)的“能源之星”是國際認可度最高的標準之一。能源之星包含了廣泛的不斷完善的標準,以實現在空負載和輕負載條件下的節能,在標準工作模式下更高的效率,更少的總諧波失真(THD)以及一致的單位功率因數(PF)。表1就是正在制定的這些標準的其中一個例子,顯示了單一電壓外部AC/DC和AC/AC電源的能源之星標準。
表1:外部AC/DC和AC/AC電源的能源之星標準。


[page]
新型電源架構和控制技術的提議和制定應符合這些新標準,有源鉗位和復位、轉移模式和交錯式多相PFC、跳脈沖、準諧振控制和谷值電壓開關僅僅是其中的幾個例子。其中,帶準諧振控制或谷值電壓開關和跳脈沖的反激式變換器是最出色的技術解決方案之一。反激式變換器由于其具有結構簡單、成本低廉、器件數量少、易于控制、支持多種輸出電壓軌等優點,而被廣泛應用于消費類電子應用。為了提高效率和節約能源,同樣配置的反激式變換器可用軟開關進行操作,比如準諧振控制。配置有軟開關時,會降低功耗。
由于準諧振控制,一次主開關具有低很多的啟動電壓。先前充到開關電容的能源將重新流回電源,從而極大提高效率。相對而言,硬開關的CCM和DCM模式都會有很高的啟動損耗。為在整個負載范圍內更好地降低功耗,反激式變換器可在不同模式下工作,比如頻率返送模式(FFM)和綠色模式,具體的工作模式視不同的負載條件而定。在FFM模式下,開關頻率隨著負載的降低而降低—從而減少開關損耗。當負載很小時(磁滯模式,也稱為綠色模式或猝發工作模式),使用跳脈沖技術來啟動反激式變換器。跳脈沖減少了開關損耗并在輕負載和空負載時實現了更佳的低功耗模式。對于具有前端PFC預調節器的應用而言,可以在負載很小時關閉PFC工作模式以節約更多的能源。
反激式控制IC就是利用這些技術開發的。比如,TI最近推出的UCC28600準諧振綠色模式反激式控制器就是此類IC的一種。它在反激式變換器中的典型配置如圖1所示。下文中我們將進一步討論這些技術是如何提高AC/DC轉換器的效率并優化節能的。

圖1:UCC28600的典型應用。
準諧振控制和谷值電壓開關
準諧振控制描述的是一款工作在臨界傳導模式下具有零電壓開關(ZVS)或谷值電壓開關(VVS)的反激式變換器。造成ZVS/VVS的是LC諧振,主要來自反向變壓器的初級繞組電感和初級主MOSFET開關(CDS)兩端總的等效電容。MOSFET兩端的電壓在諧振開關過程中降低。反激式控制器檢測到電壓下降并在谷值點啟動一次開關,如圖2所示。

圖2:準諧振控制和谷值電壓開關。
[page]
谷值電壓有兩種不同的情況:
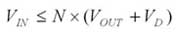
其中,N為變壓器匝數比。在該條件下,得到的次級電壓足夠高,能使初級電壓VDS為零。因此,初級側MOSFET可以在其兩端為零電壓時啟動。
在這一條件下,得到的二次電壓不足以使電壓VDS為零,只是得到了電壓谷值。圖2顯示了準諧振反激式變換器的典型VVS工作模式。若符合方程1的條件,則谷值電壓將為零,從而獲得ZVS。
ZVS/VVS可極大地節約能源并提高效率.回顧一下電容CDS中存儲的能量和在頻率fS時的開關功率,這是很容易理解的:
方程3表明,在給定電容的條件下,可通過降低電容兩端的電壓或所使用的開關頻率來降低開關功率PSW。
具有硬開關的反激式變換器在CDS兩端電壓很高時啟動開關,從而導致很高的開關功率。電容CDS中的存儲的能量在下一次啟動時消耗于MOSFET通道電阻,從而造成開關功率損耗。此類功耗在離線AC/DC應用中特別重要,此類應用中在線路電壓85到265VAC之間進行整流時產生很高的直流連接電壓。相反,同樣的一個反激式變換器若處于準諧振控制和VVS模式下,則可在降低電壓的情況下啟動開關。電壓通過LC諧振降低,因為存儲在電容的能量放電,并重新回到了DC連接電容CBLK,而不是消耗于MOSFET通道電阻。
準諧振反激式變換器功能可以通過反激式準諧振控制器實現。準諧振控制器在不同比例負載到額定滿負載條件下都可實現準諧振控制,并可進一步分為可變導通時間控制的標準準諧振模式,和固定導通時間控制(也稱為頻率返送模式)的準諧振模式。例如,準諧振控制可以設計應用于15%負載到額定滿負載的范圍,其中,50%到15%的額定負載時,控制器工作于FFM。頻率隨負載減少而降低,以進一步減少開關功耗。從50%負載到滿負載,控制器工作在標準準諧振時隨著負載的增加頻率也會降低,以減少開關功率損耗。通常要有一個最大的開關頻率(通常鉗位在150kHz以下)以最小化EMI影響并滿足EMI要求。
1.利用跳脈沖提高效率
跳脈沖也稱為綠色模式或猝發工作模式,可在超輕負載(待機模式或空負載)時最大程度地節能。在此類負載時,可用極少的開關事件實現電壓調節,僅在輸出電壓在調節邊界時才需要開關動作,額外的開關動作會造成能源浪費。例如,每一個開關周期中的緩沖電路都會產生能耗,在跳脈沖間隔期間可消除此類能耗。跳脈沖只有在輸出電壓下降到某一閾值以下時才進行必要的開關動作,此時初級側控制器會施加一個脈沖到變壓器,將輸出電壓提高到滯后窗口的上限,以保持對輸出的調節。開關動作隨后停止,使得輸出電壓衰減,達到滯后窗口的下限,此時開關動作立即恢復。通過這種方式消除了所有不必要的開關能耗。
2.輕負載時關斷PFC以節能
輕負載時PFC沒有任何優勢。從本質上來說,它所做的一切就是通過偏置和開關過程產生能耗。輕負載時關斷PFC會節省所有這些功率,同時對功率因數造成的影響保持最小。一款正確配置的反激式準諧振控制器可能有一個專用引腳實現此類功能,根據該引腳的狀態改變提示,在預確定的負載條件下自動關閉PFC。通過增加由一個二極管和一個電阻(如圖1中的Ds和Rs)組成的輔助外部電路,此類狀態引腳也可用作降低初級側峰值電流的指示器。這一方面在輕負載時有助于通過降低峰值電流的諧波功率—從而降低功耗,另一方面,也可通過降低流過變壓器中的峰值電流減少或消除流可聞噪聲。
總結及實例
總之,更嚴格的節能標準要求創新的電源技術,電源需要在整個負載范圍內都有很高的效率,并可極大節約能源。基于負載條件,操作不同模式下的使用準諧振控制和跳脈沖技術的反激式變換器可闡明它對AC/DC應用中的節能進行優化的有效性。新開發的IC(如TI推出的UCC28600)是符合新節能標準的最優解決方案之一。圖3提供了效率的典型測試結果,而圖4則顯示了在連接于通用離線輸入(帶單一18Vdc輸出)的65W反激式變換器中使用UCC28600的準諧振控制和跳脈沖技術的待機功率。

圖3:使用UCC28600的65W模塊的效率測試結果。

圖4:使用UCC28600的65W模塊的待機功率測試結果。




