中心議題:
- Buck電路開關電源紋波的定義
- Buck電路產生紋波的機理及計算
- 影響紋波的因素分析及抑制措施
解決方案:
- 考慮開關頻率、L和C的取值
- 降低ESR
開關電源具有效率高、輸出電壓可調范圍大、損耗小、體積小、重量輕等特點,得到了廣泛的應用。由于開關電源體積小,輸出直流電壓的紋波含量比同功率線性電源大,如何降低紋波含量成為開關電源應用及制造技術中的一個關鍵技術難點。本文通過對Buck電路的分析,找出對紋波的產生有影響的因素及改善的措施。
1 紋波的定義
Buck類型開關電源的拓撲結構如圖1所示。

通常情況下,開關電源首先把電網電壓全波整流變為直流電,經高頻開關變換由變壓器降壓,經高頻二極管整流濾波后,得到穩定的直流電壓輸出。其自身含有大量的諧波干擾,同時由于變壓器的漏感和輸出二極管的反向恢復電流造成的尖峰都形成了電磁干擾源,這些尖峰就是輸出紋波。輸出紋波主要來源于4個方面:低頻紋波、高頻紋波、共模紋波、功率器件開關過程中產生的超高頻諧振等。
2 Buck電路產生紋波的機理及計算
2.1 紋波電流計算
電感的定義:

λ為線圈磁鏈;N為線圈匝數;i為流經線圈的電流;Φ為線圈磁通。如果式(1)兩端以時間t為變量進行微分計算,可得:

這便是大家所熟知的電感電壓降回路方程。
現在假設對于每個單獨的開關周期,在開關管導通狀態和關斷狀態,輸入輸出電壓都基本沒有變化,可以寫出導通狀態和關斷狀態時的L兩端的電壓。
導通狀態L兩端的電壓:
![]()
關斷狀態L兩端的電壓:
![]()
Vsat為開關管的導通壓降;VF為二極管的導通壓降。
由于Vsat和VF相對于Vi和Vo很小,這里忽略不計,可以得到:

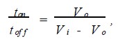
可以看出Von和Voff都是常數,即對于
,不論在導通狀態還是在關斷狀態都有:
[page]
為常數,所以可以用
替換
,代入式(4)并整理得:
![]()
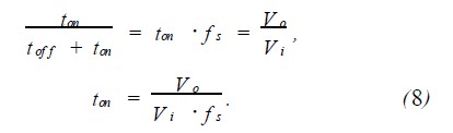
可以認為Δi就是電感線圈中的紋波電流,將導通和關斷狀態時的時間和電壓式(2)和式(3)代入上式,分別寫出導通狀態和關斷狀態時的紋波電流表達式:

Δion為導通狀態紋波電流;ton為導通時間;Δioff為關斷狀態紋波電流;toff為關斷時間。
在電源穩定工作時,
![]()
ΔiL為線圈上紋波電流的絕對值。將式(5)和式(6)代入式(7),整理得:

進而得出:

fs為開關頻率。
將式(8)代入式(5),得:

式(9)即為紋波電流的表達式。
2.2 紋波電壓計算
注意到在輸出部分,電感電流在電容C和負載之間分割,有:
![]()
設在穩態下,輸出到負載的電流不變。所以有:
![]()
這也是一種近似,因為就算是負載恒定不變,由于電壓紋波的影響,電流也會改變的,但由于這個變化量和ΔiL相比很小,所以在此忽略。如果不忽略,也可以推導出更復雜的表達式。ΔiC加之于C就會產生紋波電壓。
首先計算第一部分。當ΔiC流過理想電容C時,在C兩端產生的電壓變化:
![]()
取積分下限為ton/2,積分上限為toff/2,計算積分得:

計算第二部分,對于一般電容,都具有串聯等效電感和串聯等效電阻(其實還有并聯等效絕緣電阻)。串聯等效電感只在較高頻率時起作用,在分析開關頻率時可以將其忽略,但必須考慮的是串聯等效電阻ESR.電流ΔiC流過ESR時,會在ESR兩端產生電壓降,其值為:
![]()
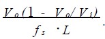
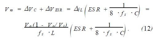
ΔVESR也會作為紋波的一部分表現在輸出端上,所以總的紋波表達式為式(10)和式(11)的和,即:
[page]
Vro為總紋波;ESR為C的等效串聯電阻。
式(12)即是Buck類型開關電源的紋波電壓的近似表達式,其中的每個變量都是影響紋波的因素,調整這些變量就是調整紋波的主要方法。
3 影響紋波的因素分析及抑制措施
根據式(12),逐一分析影響紋波電壓的因素

1)首先觀察括號內的因素:試取一個典型的值計算一下,如fs=300kHz,C=470μF,可知為

盡管對于ESR的計算要考慮很多因素,一般情況下,電解電容和若干陶瓷電容并聯后的等效電阻ESR在十幾到幾十mΩ之間,由此可見ESR是紋波產生的主要因素,并且C取值的增加不會顯著改變紋波。
2)其次觀察等式右邊的前半部分

如果L或者fs增大,則Vro變小,可以減小紋波,即增大電感的值和提高開關頻率可以降低紋波。
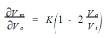
3)最容易忽略的是輸出電壓和紋波的關系。考察Vo對Vro的變化率。
在所有其他因素都不改變的條件下,將Vro對Vo求導,可得:

其中:

令
有
,此時電源輸出的紋波最大。
Vo無論大于還是小于這個值,紋波都將減小。由該規律可以推算輸出電壓調整的電源模塊的紋波。
4)在實際工作中,一切可以調整的因素都是相對穩定的,并且帶有一定的實際工作誤差。因此在考慮開關頻率、L和C的取值的時候,要考慮干擾因素,選取受到很多因素影響的一個折中的結果。調整這些取值要考慮其他制約因素,下面列舉一些制約因素,在調整參數時需要注意:
a)提高開關頻率將使系統功耗增大,電源效率降低,溫度升高,帶來散熱問題。
b)開關頻率受到開關管、控制芯片、二極管及其他因素的限制,不能無限提高。
c)提高L的值會使電感體積增加,成本增加,而電感的選擇面是比較窄的。
d)無論是修改L、C或是開關頻率,都要注意電源的穩定性。
通過上述分析可以得知,降低ESR可以降低紋波干擾,即在實際通常使用電解和若干瓷片電容并聯的方法降低輸出C的ESR,進而降低紋波干擾。
4 結語
本文通過對Buck電路中元器件的計算公式,推導出紋波電壓、電流的計算公式。根據影響因素,對電感量、電容量的選擇進行分析比較,從而得出紋波的抑制方法。然而問題并沒有完全解決,下面的問題更加值得關注與了解:
1)各類電解電容和各類薄膜電容的ESR特性是什么;
2)各類電容的ESR受哪些因素的影響;
3)如何估算電容并聯的ESR;
4)輸出電容的相對位置對ESR有何影響。
前兩個問題可以通過基本的性能實驗求解,第三個問題則需要使用解析和仿真的方法來進行解決,而第四個問題就需要加強基礎和理論深入的研究。





