- MOSFET的柵漏電流噪聲模型
- MOSFET的柵漏電流噪聲模型分析與探討
- 超薄柵氧隧穿漏電流低頻噪聲模型
- 柵電流噪聲電容等效電荷漲落模型
CMOS器件的等比例縮小發展趨勢,導致了柵等效氧化層厚度、柵長度和柵面積都急劇減小。對于常規體MOSFET,當氧化層厚度<2 nm時,大量載流子以不同機制通過柵介質形成顯著的柵極漏電流。柵極漏電流不僅能產生于溝道區域,而且能在柵極與源/漏的交疊區域產生。穿越柵氧化層的電流增加了電路的泄漏電流,從而增加了電路的靜態功耗,同時也影響MOS器件的導通特性,甚至導致器件特性不正常。柵漏電流增加成為器件尺寸縮減的主要限制因素之一。
柵氧化層越薄,柵漏電流越大,工藝偏差也越大。柵漏電流噪聲一方面影響器件性能,另一方面可用于柵介質質量表征,因此由柵介質擊穿和隧穿引起的柵電流漲落為人們廣泛關注。為了更好地描述和解釋柵電流漲落對MOS器件性能的影響,迫切需要建立柵漏電流噪聲精確模型。MOS器件噪聲的研究,始于60年代,至今已有大量研究報道文獻。而柵漏電流大的MOS器件噪聲特性的研究仍是現今研究中活躍的課題。尤其當MOS-FET縮減至直接隧穿尺度(<3 nm)時,柵漏電流噪聲模型顯得尤為重要,并可為MOSFET可靠性表征和器件設計提供依據。文中基于MOSFET柵氧擊穿效應和隧穿效應,總結了柵漏電流噪聲特性,歸納了4種柵漏電流噪聲模型,并對各種模型的特性和局限性進行了分析。
1 柵漏電流噪聲模型
(1)超薄柵氧隧穿漏電流低頻噪聲模型
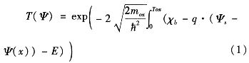
模型基于泊松方程與薛定諤方程自洽數值求解,采用一維近似描述了器件的靜態特性,模型考慮了柵材料多晶硅耗盡效應和量子力學效應。在描述超薄氧化層的柵漏時,同時考慮了勢壘透射和界面反射,電子透射系數表達式為

其中,χb為勢壘高度,ψ(y)為位置y處的電勢,E為隧穿電子能級。
總柵隧穿電流為
其中,Ninv(ψ)為反型層電荷,C(ψ)為取決于界面反射的修正系數,fi(ψ)為頻率因子。
氧化層內部的缺陷對柵漏電流漲落的貢獻,已在格林表達式中考慮和體現。這種近似允許擯棄等效平帶電壓漲落的假設,由此得到的柵電流漲落譜密度為

其中,
氧化層中的陷阱可發射載流子至溝道或從溝道中俘獲載流子。對于近二氧化硅/多晶硅界面捕獲的載流子,若其再發射,進入多晶硅柵,應用朗之萬方程,假定產生幾率不受再發射過程的影響,則單位體積內占據陷阱數量漲落的譜密度為
[page]

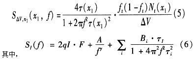
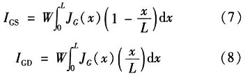
圖一 柵電流分量示意圖
其中,JG是柵極電流密度,L是溝道長度,W是溝道寬度,x是沿溝道的位置(源極處x=0,漏極處x=L),IGS和IGD是柵極電流的柵/源和柵/漏分量。通過線性化柵電流密度與位置的關系,簡化這些等價噪聲電流分析表達式,所得的總柵極電流噪聲表達式為
常數KG可通過低頻噪聲實驗測試獲得,IG可通過直流測試得到。
(2)柵電流噪聲電容等效電荷漲落模型
FET溝道中的熱噪聲電壓漲落導致了溝道靜電勢分布的漲落。溝道成為MOS電容的一塊平板,柵電容之間的電壓漲落引起電荷漲落,將電荷漲落等效于柵電流漲落。在Van Der Ziel對JFET誘生柵噪聲的早期研究之后,Shoji建立了柵隧穿效應的MOSFET模型,即是將MOS溝道作為動態分布式的RC傳輸線。器件溝道位置x處跨越△x的電壓漲落驅動兩處傳輸線:一處是從x=0展伸至x=x,另一處從x=x展伸至x=L。柵電流漲落作為相應的漏一側電流漲落和源一側電流漲落之間的差異估算得出。在極端復雜的計算中保留Bessel函數解的首要條件,于器件飽和條件下,估算得出了柵電流漲落噪聲頻譜密度解析表達式為
2 模型分析與探討
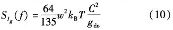
實驗表明,超薄柵氧MOSFET柵電流噪聲呈現出閃爍噪聲和白噪聲成分,測試曲線表明白噪聲接近于散粒噪聲(2qIG)。對于小面積 (W×L=0.3×10 μm2)器件,1/f噪聲成分幾乎為柵電流IG的二次函數,柵電流噪聲頻譜密度SIG(f)與柵電流IG存在冪率關系,即SIG(f)∝IGγ。
超薄柵氧隧穿漏電流低頻噪聲模型適用于超薄柵氧化層MOSFET低頻段噪聲特性表征,與等效柵氧厚度為1.2 nm柵電流噪聲測試結果的對比,驗證了其正確性。通過模型與實驗噪聲測試結果及器件模擬的對比,可用于提取慢氧化層陷阱密度分布。
唯象模型利用勢壘高度漲落和源于二維電子氣溝道的柵極泄漏電流的洛侖茲調制散粒噪聲,來解釋過剩噪聲特征。低頻和高頻范圍內,測量值和仿真值均有良好的一致性。模型將過剩噪聲解釋成1/f''''''''''''''''伊噪聲和洛侖茲調制散粒噪聲之和,能夠準確預測超薄柵氧化層的MOS晶體管的過剩噪聲性質并適于在電路仿真中使用。
柵電流分量噪聲模型,模擬結果與低漏偏置下的1.5 nm柵氧厚度p-MOSFET的數值模擬結果和實驗數據一致。該模型適用于納米級MOSFET,僅限于描述由柵隧穿效應引起的柵漏電流漲落。模型兩待定參數都可通過實驗獲得,可方便計算不同偏置下的點頻噪聲幅值。等效電容電荷漲落模型中,柵電流通過柵阻抗產生的電壓漲落經由器件跨導在溝道處得到證實。該模型僅適用于器件飽和條件下,由于忽略了襯底效應,誘生襯底電流和溝道中的高場效應,其適用性和精確度均不高。
3 結束語
雖然已經提出多種小尺寸MOSFET柵電流噪聲模型,但各模型均有局限性。等效電容電荷漲落模型局限性很大,超薄柵氧隧穿漏電流低頻噪聲模型可用于精確描述低頻噪聲特性。唯象模型和柵電流分量噪聲模型則主要取決于柵隧穿效應。從噪聲特性看低頻段噪聲功率譜近似為柵電流的二次函數,在低溫環境白噪聲主要成分為散粒噪聲。這些噪聲模型主要針對隧穿機制,全面描述各種隧穿機制引起的柵漏電流模型還有待研究。



