中心議題:
- 常見的蓄電池失效模式
- 閥控鉛酸蓄電池內阻模型研究
- 內阻在線測量方法
解決方案:
- 直流方法
- 交流方法
1 引言
目前,閥控式鉛酸蓄電池在電力操作電源廣泛使用,由于閥控式鉛酸蓄電池結構的特殊性,在運行中可靠地檢測蓄電池的性能,并有針對性地對蓄電池進行維護變得困難但又很迫切。從電力系統運行的高可靠性要求,各類蓄電池監測系統也在廣泛使用。但不同的測試模式對蓄電池的性能狀況反映也不一樣,多年的研究和運用表明,內阻檢測是目前最為可靠的測試方式之一,而蓄電池的不同失效模式對內阻的反映情況也不一樣,了解蓄電池的內阻和各種失效模式的關系,有利于更好地對蓄電池進行檢測和維護。合理地選擇及使用目前直流電源系統中的蓄電池和電池監測模塊,對延長蓄電池的使用壽命有很大的作用,為獲得最大的安全效益和經濟效益有著很重要的意義。
2 常見的蓄電池失效模式
對于閥控式鉛酸電池,通常的性能變壞機制有:電池失水、正極板群的腐蝕、活性性質的脫落、深放電引起的鈍化和深度放電后的恢復等等,以下是幾種性能變壞的情況:
1)電池失水
鉛酸蓄電池失水會導致電解液比重增高、導致電池正極柵板的腐蝕,使電池的活性物質減少,從而使電池的容量降低而失效。
閥控式鉛酸蓄電池充電后期,正極釋放的氧氣與負極接觸,發生反應,重新生成水,即
O2 + 2Pb→2PbO
PbO + H2SO4→H2O +PbSO4
使負極由于氧氣的作用處于欠充電狀態,因而不產生氫氣。這種正極的氧氣被負極鉛吸收,再進一步化合成水的過程,即所謂陰極吸收。
在上述陰極吸收過程中,由于產生的水在密封情況下不能溢出,因此閥控式密封鉛酸蓄電池可免除補加水維護,這也是閥控式密封鉛酸蓄電池稱為免維電池的由來。電池在存放期間內應無氣體逸出;充電電壓在2.35V/單體(25℃)以下應無氣體逸出;放電期間內應無氣體逸出。但當充電電壓超過2.35V/單體時就有可能使氣體逸出。因為此時電池體內短時間產生了大量氣體來不及被負極吸收,壓力超過某個值時,便開始通過單向排氣閥排氣,排出的氣體雖然經過濾酸墊濾掉了酸霧,但必竟使電池損失了氣體,也等于失水,所以閥控式密封鉛酸蓄電池對充電電壓的要求是非常嚴格的,絕對不能過充電。
2)負極板硫酸化
電池負極柵板的主要活性物質是海棉狀鉛,電池充電時負極柵板發生如下化學反應
PbSO4 + 2e = Pb + SO4-
正極上發生氧化反應:
PbSO4 + 2H2O = PbO2 + 4H+ + SO4- + 2e
放電過程發生的化學反應是這一反應的逆反應,當閥控式密封鉛酸蓄電池的荷電不足時,在電池的正負極柵板上就有PbSO4 存在,PbSO4 長期存在會失去活性,不能再參與化學反應,這一現象稱為活性物質的硫酸化,為防止硫酸化的形成,電池必須經常保持在充足電的狀態,蓄電池絕對不能過放。
3)正極板腐蝕
由于電池失水,造成電解液比重增高,過強的電解液酸性加劇正極板腐蝕,防止極板腐蝕必須注意防止電池失水現象發生。
4)熱失控
熱失控是指蓄電池在恒壓充電時,充電電流和電池溫度發生一種累積性的增強作用,并逐步損壞蓄電池。造成熱失控的根本原因是浮充電壓過高。
一般情況下,浮充電壓定為2.23 ~ 2.25V/單體(25℃)比較合適。如果不按此浮充范圍工作,而是采用2.35V/單體(25℃),則連續充電4個月就可能出現熱失控;或者采2.30V/單體(25℃),連續充電6 ~ 8個月就可能出現熱失控;要是采用2.28V/單體(25℃),則連續12 ~ 18個月就會出現嚴重的容量下降,進而導致熱失控。熱失控的直接后果是蓄電池的外殼鼓包、漏氣,電池容量下降,最后失效。
3 閥控鉛酸蓄電池內阻模型研究
阻抗分析是電化學研究中的常用方法,是電池性能研究和產品設計的必要手段。
圖2-1是典型的鉛酸電池阻抗圖,可見其包括以下幾部分:
1) 100Hz后體現的電感部分;
2) 高頻電阻RHF,即超過100Hz后的實部;
3) 在0.1Hz和100Hz之間的第一個小容性環(半徑R1);
4) 低于0.1Hz后的第二個大容性環(半徑R2)。

圖2-1 蓄電池阻抗譜圖
[page]
關于蓄電池阻抗譜圖,一般的解釋為:
a)超過100Hz部分呈現的感性是電池內部幾何結構和連接部件的影響;
b)歐姆電阻RHF包含連接件電阻、隔膜電阻、電解液電阻和電極與硫酸鉛晶體結合面電阻;
c)小容性環與電極的孔率有關;
d)大容性環依賴于電極反應,其速率受Pb2+離子傳質速度限制。
在很多的研究方法中,使用圖2-2的等效電路來表示電池。

圖2-2 蓄電池阻抗等效電路
圖2-2中Lp、Ln為正負極電感;Rt.p和Rt.n 是電極離子遷移電阻;Cdl.p、Cdl.n是極板雙電層電容;Zw.p、Zw.n為Warburg阻抗,是由離子在電解液和多孔電極中擴散速度決定的;RHF是前面提到的歐姆電阻。
文獻研究中將Warburg阻抗表示為一個電阻和電容串聯組成的阻抗ZW。
(2-4)
式中:λ——Warburg系數,表示反應物和生成物的擴散傳質特性;ω——角頻率
電池的阻抗包括歐姆電阻和正負極阻抗:
Zcell = Zp + Zn + RHF (2-5)
電池阻抗是一個復阻抗,在其它條件不變的情況下,與測試頻率有關。
在實際使用中多采用內阻或電導,內阻是復阻抗的模,而電導是內阻的倒數值,二者只是表示方法的差別。
通常情況的內阻是指某一固定頻率下的內阻值,對于一般的VRLA蓄電池,從電池的阻抗譜圖(2-1)中可以看出,對于高于100Hz的頻率,阻抗值RHF是平行于Y軸的近似直線,RHF也稱為歐姆內阻。
4 內阻在線測量方法
備用場合使用的VRLA電池一般容量很大,在幾十到數千安時,電池的內阻值很小,隨電池容量的增大,內阻減小,例如3000Ah的電池,其內阻值一般在30-50微歐。由于阻值低,電池正負極輸出直流電壓,要準確測量內阻是有一定難度的,尤其是在線測量時電池端存在充電紋波和負載變動時的動態變化。
4.1 直流方法
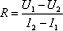
直流方法是在電池組兩端接入放電負載,測量電壓的變化(U1-U2)和電流值(I)計算電池的內阻(R)。
(2-1)
蓄電池從浮充狀態切換到放電狀態,典型的電壓跌落過程如圖2-4所示。即停止充電后,電池回落到某平衡電位,接入放電負載后,電壓發生階躍變化。這樣,內阻的計算不能使用浮充電壓和放電工作電壓的差值來計算,使用開路平衡電位與放電工作電壓的差值時也不夠穩定。因此,在放電過程改變電流可以克服平衡電位不穩定的因素。采用式(2-6),根據在不同電流(I1、I2)下的電壓變化(U1-U2)來計算內阻值。
(2-6)

圖2-4 蓄電池放電電壓曲線
由于內阻值很小,在一定電流下的電壓變化幅值相對較小,給準確測量帶來困難,由于放電過程電壓的變化,需要選擇穩定區域計算電壓變化幅值。實際測量中,直流方法所得數據的重復性較差、準確度很難達到10%以上。
[page]
4.2 交流方法
交流方法相對直流法要簡單。
當使用受控電流時,ΔI = Imax Sin(2πft),產生的電壓響應為:
ΔV = Vmax Sin(2πft + φ) (2-1)
若使用受控電壓激勵,ΔV = Vmax Sin(2πft),產生的電流響應為:
ΔI = Vmax Sin(2πft - φ) (2-2)
兩種情況的阻抗均為:
(2-3)
即阻抗是與頻率有關的復阻抗,其模 |Z|= Vmax/Imax, 相角為φ。
從理論上講,向電池饋入一個交流電流信號,測量由此信號產生的電壓變化即可測得電池的內阻。
R = Vav / Iav (2-6)
式中:Vav----為檢測到交流信號的平均值;Iav ---- 為饋入交流信號的平均值
在實際使用中,由于饋入信號的幅值有限,電池的內阻在微歐或毫歐級,因此,產生的電壓變化幅值也在微歐級,信號容易受到干擾。尤其是在線測量時,受到的影響更大,采用基于數字濾波器的內阻測量技術和同步檢波方法可以部分克服外界干擾,獲得比較穩定的內阻數據。
同步檢波方法電路結構簡單,如圖2-5所示,由時鐘觸發同步激勵信號和檢波電路的相位。

圖2-5 同步檢波方法測量蓄電池內阻
4.3 不同測量方法對內阻值的影響
不同的測量一起使用不同的內阻測量方法,尤其是不同的測試頻率,所獲得的電池內阻數據有較大的差異。以下是對開口鉛酸電池和閥控密封鉛酸電池(VRLA)用不同的儀器進行測試的數據對比。
對12V100Ah開口蓄電池,分別采用HIOKI3550內阻測試儀(工作頻率1000Hz,測量電流為幾十mA)和BM6500(工作頻率10Hz,測量電流1A)測量17只電池的內阻,其結果如圖2-8所示,圖中“☆”為BM6500測得的數值,“+”是HIOKI3550所測得數值。可見BM6500所測數據均比HIOKI3550的數值高。但從圖2-8還發現,兩種方法測量的數據差值并不是一個恒值或者固定比例。

圖2-8 不同測試方法的開口鉛酸蓄電池內阻
由于測量方法的不同,蓄電池內阻數值有較大的差異。因此,在研究內阻變化時需要在同一方法下進行測量。
[page]
4.4 不同充電狀態對內阻值的影響
蓄電池處于不同的狀態,其內阻值也有很大的差異。圖2-10中數值較高的數據是在浮充狀態下測得的,停止浮充、轉入放電后電池內阻變小。變化幅度均勻,平均為6.5%,可以解釋為浮充狀態下極化內阻的影響。電池進入放電狀態后,內阻由浮充狀態的值下降到某穩定值,此數值在電池放電的平臺期穩定上升,放電容量達到80%后,內阻急劇上升。轉入充電后,內阻很快恢復到正常數值。

圖2-10 VRLA電池放電過程電壓、內阻曲線
4.5 不同的失效模式對內阻的影響
蓄電池的不同失效模式反映在內阻變化的幅值并不一樣。日本JSB電池公司就失水模式和腐蝕模式的區別進行了研究。其研究采用直流放電方法,測量電壓的跌落來計算電池的歐姆內阻。
圖2-12 是不同劣化模式下的電池放電曲線。與一般的腐蝕模式對比可以發現:同樣的歐姆內阻變化幅度,失水模式能提供的輸出容量比腐蝕模式的要低。
另外的電池劣化模式也從不同的角度影響電池的內阻,除腐蝕和失水外,活性物質的不同結晶狀態也影響輸出容量和內阻。
充電狀態SOH影響內阻值,對處于正常浮充電壓一定時間后的電池,可以認為是在完全充電狀態。
溫度對電池內阻影響甚微,低溫有些影響。在運行條件較好的場合,可以不考慮溫度的影響。
4.6 現場測量與數據分析
對1組12V電池進行了測試,規格為100Ah/12V,18只串聯,現場使用約1年,處于浮充狀態。接入BM6500系統,在線測量電池電壓和內阻數據。

表2-3 1組12V電池的測試數據
第二次內阻測試的平均值為6.29,去除壞值(No9、No10)后的平均值為6.08,No9電池內阻偏離平均值31.9%,No10電池內阻偏離平均值28.5%。
對No9、No10單獨恒流放電,測試實際容量。放電電流10A,記錄放電電壓和環境溫度。
根據0.1C放電的容量公式計算,
No9電池的實際容量:(6*60+38)/600/0.98=67.7%
No10電池的實際容量:(7*60+17)/600/0.98=74.3%
5 結語
下圖是一般研究普遍認同的電池老化與內阻變化的關系,即內阻變化一般經歷3個階段:
1)投運初期,電池進入穩定運行期間,電池內阻有所下降;
2)在電池正常運行的很長一段時間,內阻保持相對穩定;
3)在電池壽命終結前的一段時間,內阻呈快速上升趨勢。

圖 VRLA電池老化與內阻的變化
IEEE Std 1188-1996中對內阻測量和數據分析作了說明,指出內阻受包括物理連接、電解液離子導電性和電極表面的活性物質的活性3方面因素的影響,內阻值與所采用的儀器和測量方法有關,內阻的變化可以當作電池性能或者說容量變化的指示。明顯的內阻變化表明蓄電池有大的性能改變,超過30%的變化即可認為明顯,但這個變化幅度可能跟不同廠家的電池有關。
內阻與SOH的關系分析的結論:
(1)SOC和SOH無疑影響電池內阻。
(2)環境溫度亦影響電池內阻,尤其是低頻下的電化學動力學過程受到擴散控制。
(3)大容量電池的歐姆內阻很小,其變化幅度就更小,需要相當精度的測試手段。
(4)不能直接用內阻數據來計算SOH,而且建立標準亦很困難。部分電池的內阻變化明顯,但此時的電池容量仍可能保持在良好水平。
(5)劣化嚴重的電池其內阻變化數值將超過某范圍。





