【導讀】現在智能設備大行其道,隨處可見各種潮人帶著形形色色的便攜產片,不過智能設備有個硬傷,那就是費電!各種費電!于是對電池的集成電路的開發就成了其中的關鍵,深受眾人親睞。
現在電池電源使用的集成電路的開發越來越活躍,高性能、低成本、超小型封裝產品正在加速形成商品化。要求LDO(低壓差)型線性穩壓器具有結構簡單、成本低廉、低噪聲、小尺寸等特點,在便攜式電子產品中獲得了廣泛應用。
在便攜式電子產品中,電源效率越高意味著電池使用時間越長, 而線性穩壓器效率=輸出電壓×輸出電流/輸入電壓×輸入電流×100% ,因此,輸入與輸出電壓差越低、靜態電流(輸入電流與輸出電流之差) 就越低,線性穩壓器的工作效率就越高。
本文設計的低壓差線性穩壓器其輸出電壓為2.5V 或輸出可調,滿足當負載為1mA 時,最小輸入輸出壓差為0.4mV ,當負載為300mA 時,壓差為120mV ,電源電壓工作范圍為2.5~6V。
電路結構與工作原理
低壓差線性穩壓器的電路結構如圖1 所示,電路由調整管,帶隙基準電壓、誤差放大器、快速啟動、過流限制、過熱保護、故障檢測、及取樣電阻網絡等模塊組成,并具有使能、輸出可調等功能。調整 管作為壓差的負載器件,要滿足本設計的要求,對于它的選擇需重點考慮: 首先比較三極管和MOS管,由于三極管是流控器件,而MOS管是壓控器件,比較而言MOS管結構的靜態電流更低。其次,NMOS管工作時需一比輸出電壓高 的驅動信號,而PMOS管則無此需求,特別在低輸入電壓時要產生一高的驅動電壓變得較困難。因此,本文采用PMOS管作為調整管。

圖1 低壓差線性穩壓器電路結構
電路的工作原理是:在電路上電過程中,快速啟動電路內有一個500μA 的電流源的對CC端的旁路電容C充電,使電路盡快上電啟動,誤差運放的同相端經由取樣電阻R1 、R2對輸出電壓V0采樣,再與Vref比較后輸出放大信號,控制調整PMOS管的柵極電壓,使輸出電壓V0 保持穩定,即:
電路在工作過程中出現過流、過熱情況時,過流限制與過熱保護電路會快速響應,調整管的導通狀態會被減弱、關斷,保護電路不致損壞,同時故障檢測電路 會產生一個低電平信號。使能端接高電平時電路正常工作;當使能端為低電平時,基準電路及調整PMOS管關斷,電路處于等待狀態。
關鍵特性分析及設計考慮
1、漏失電壓(VDO) 和靜態電流(Iq)
漏失電壓定義為維持穩壓器正常工作的最小輸入輸出電壓差,它是反映調整管調整能力的一個重要因素。對采用PMOS 管作調整管的電路,漏失電壓由導通電阻(Ron) 和負載電流(Io) 確定,即: VDO = Io×Ron 。低壓差線性穩壓器的靜態電流為輸入電流與輸出電流之差,即: Iq = Ii -Io。靜態電流由偏置電流和調整管的柵極驅動電流組成。對PMOS 調整管而言,柵極由電壓驅動,幾乎不產生功耗。在穩壓器承載小負載或空載時,漏失電壓極低,靜態電流等于穩壓器工作時的總偏置電流。設計時注意使PMOS 調整管的導通電阻和漏電流盡可能做小,各模塊電路在小電流狀態下能正常工作。
2、功耗( Pw) 和效率(η)
低壓差線性穩壓器的功耗為輸入能量與輸出能量之差,即:
PW = VI II - VO IO = ( VI - VO) IO + VI Iq
上式中,前一項是調整管產生的功耗,后一項是靜態電流功耗。穩壓器效率如前所述可表示為:
η= IO VO / ( IO + Iq ) VI ×100 %
功耗與效率的表達式充分說明對于低壓差線性穩壓器,低漏失電壓、低靜態電流意味著低功耗、高效率。
[page]
3、負載調整能力和電壓調整能力
負載調整能力指當輸出電流變化時,輸出電壓維持一定值的能力,定義為: ΔVO / ΔIO ,它表征了負載變化而穩壓器維持輸出在標稱值上的能力,該值越小越好。電壓調整能力指當輸入電壓變化時,輸出電壓維持一定值的能力,定義為:ΔVO / ΔVI ,它表征了輸入電壓變化而穩壓器維持輸出在標稱值上的能力,該值也是越小越好。對圖1 的電路結構其負載調整能力和電壓調整能力分別為:

其中gm 為調整管的跨導;Aod為誤差放大器的開環差模增益;Rds 為調整管源漏間的等效電阻;RL 為負載電阻;R1 、R2 為取樣電阻。由上式可見,減小ΔVO÷ΔIO 和 ΔVO÷ΔVI 的關鍵是盡可能增大gm 和Aod 。
4、瞬態響應
瞬態響應是穩壓器的動態特性,指負載電流階躍變化引起輸出電壓的瞬態脈沖現象和輸出電壓恢復穩定的時間,與輸出電容COUT和輸出電容的等效串聯電阻RESR ,以及旁路電容Cb有關,最大瞬態電壓脈沖值ΔVTR(MAX) 為:

其中: IO(MAX) 是指發生階躍變化的最大負載電流;Δt1 是穩壓器閉環的響應時間,與穩壓器閉環帶寬(0dB 頻率點) 有關。設計應用時需考慮降低穩壓器的瞬態電壓脈沖,即提高穩壓器的帶寬,增大輸出和旁路電容,降低其等效電阻。
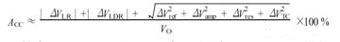
5、輸出精度
穩壓器的輸出精度是由多種因素的變化在輸出端共同作用的體現,主要有輸入電壓變化引起的輸出變化ΔVLR 、負載變化引起的輸出變化ΔVLDR 、基準漂移引起的輸出變化ΔVref 、誤差放大器失調引起的輸出變化ΔVamp 、采樣電阻阻值漂移引起的輸出變化ΔVres 、以及工作溫度變化引起的輸出變化ΔVTC ,輸出精度ACC由下式給出:

其中ΔVref 、ΔVamp 及ΔVres對ACC影響較大,故基準電壓源、誤差放大器及采樣電阻網絡的拓撲結構在設計時需重點考慮。
電路設計及模擬結果
1、帶隙基準電壓源的設計
基準電壓源是線性穩壓器的核心模塊,是影響穩壓器精度的最主要因素。帶隙基準電壓源的工作原理是利用晶體管的VBE所具有的負溫度系數與不同電流密度下兩晶體管之間的ΔVBE所具有正溫度系數的特性,乘以合適的系數使二者相互補償,從而得到低溫漂的輸出電壓。
電路實現如圖2所示,有:
其中n 為Q1 、Q2 的發射區面積比。Hspice 模擬結果表明,當電源電壓變化范圍在2.5~6V 之間時,常溫下VREF = 1.254V ,溫度變化范圍在-30~120 ℃之間時,溫漂系數小于10×10-6/ ℃。

圖2 帶隙基準源電路
2、誤差放大器的設計 誤差放大器將輸出反饋采樣電壓與基準電壓進行差值信號比較放大,輸出后控制調整管的導通狀態,保持Vout穩定,其增益、帶寬及輸入失調電壓等指標對穩壓器的輸出精度、負載和電壓調整能力、瞬態響應等特性有較大影響,電路實現如圖3所示。通過Hspice 模擬得到該誤差放大器在VCC1為4.2V 時,其輸入失調電壓為0.05μV ,直流增益為110dB ,帶寬達到10MHz。

圖3 誤差放大器電路
[page]3、過流限制模塊的設計
過流限制電路的設計思路是通過對調整管柵源電壓進行采樣,實現控制調整管的柵極電壓,從而達到限制輸出電流的目的,電路實現如圖4所示。

圖4 過流限制電路
當負載電流由小增大時,VDrv隨之降低,調整管MTG的ID隨之增大,通過M20對調整管MTG的柵源電壓進行采樣,使得M31 的柵極電壓增大,這樣M21的柵極電壓隨之降低,從而實現對VDrv的調整。通過Hspice 模擬得到,當負載電流超過330mA 時,M21將開始導通,從而使VDrv 隨之提高,使調整管MTG導通程度減弱,起到限流保護作用。
3.4 過熱保護模塊的設計
過熱保護電路的設計思路是利用對溫度敏感的元件來檢測的片內溫度的變化,當溫度超過設定值時,保護電路動作,調整管被關斷,以防其損壞,電路實現如圖5所示。

圖5 過熱保護電路
利用晶體管的VBE具有負溫度系數的特性,將Q0作為測溫元件,由M12 、M13 、M10 、M5 、和M4 形成一比較器,M11 、R1 和R2 組成分壓電路。在低于溫度設定值時設計VGM12< VGM13,比較器的輸出VGM3為低電平, Tout 的輸出為高電平,電路正常工作,當溫度升高到超過設定值時,有VGM12> VGM13,比較器反轉, VGM3 變為高電平, TOUT的輸出為低電平,從而實現關斷調整管。本電路的溫度保護設定值為160 ℃,Hspice 的模擬結果如圖6所示,圖中×代表輸出電壓VOUT , ⊙代表VGM12,Δ 代表VGM13, 負載電流為300mA。

圖6 輸出電壓隨溫度的變化( I0=300mA)
[page]3.5 總體電路模擬結果
本電路采用韓國現代公司0.6μm 工藝模型,通過Hspice 對整體電路及各關鍵模塊進行了模擬優化,典型工作條件下模擬結果如表1,輸出電壓隨輸入電壓及溫度的變化如圖6、圖7所示,模擬結果充分驗證了設計的正確性。

圖7 輸出電壓隨輸入電壓的變化( IO = 300mA)
4 總 結 經過對低壓差線性穩壓器的工作特性及相關設計考慮,給出了關鍵模塊的電路設計圖,HSPICE 的模擬結果驗證了電路具有良好特性,該電路采用標準CMOS工藝實現,具有較高的實用價值。小伙伴們都看懂了么,受益匪淺吧!媽媽再也不用擔心我的電話沒電了!
相關閱讀:
DIY:教你10分鐘自制光線探測器
集成電路EMC測試方法
混合集成電路的EMC技術方案





