【導讀】目前網絡上關于反激變壓器的學習資料五花八門且比較零散,本文就將對反激變壓器的設計分段進行從頭到尾的梳理,將零散的知識進行整合,并配上相應的分析,幫助大家盡快掌握。本篇文章將要為大家介紹的是反激變壓器中臨界模式的計算方法及分析。
反激式是目前比較主流的一種變壓器設計方法,很多新手都通過反激電源的制作來熟悉電源設計,目前網絡上關于反激變壓器的學習資料五花八門且比較零散,本文就將對反激變壓器的設計分段進行從頭到尾的梳理,將零散的知識進行整合,并配上相應的分析,幫助大家盡快掌握。
本篇文章將要為大家介紹的是反激變壓器中臨界模式的計算方法及分析。
產品的基本規格要求
交流輸入范圍:176~265VAC
輸出電壓電流:12V2A
工作溫度:-25~+55℃
前期方案分析
這是一個很常見的技術規格,我們拿到產品技術規格書時至少需要做到兩點:
產品應用在什么場合
產品的應用場合決定了最終的設計方案,這需要跟公司內部人員(如果是自用)或者客戶(定制類產品)充分溝通。如果是通用競爭性型產品,產品的設計方案往往不是由你個人來制定的,需要密切關注行業標準(動向)以及自身的產品定位,例如程工、拒絕變帥他們發布的大量設計方案、觀點,這些都是你要關注的內容。
保持清醒的頭腦
如果產品是低成本應用,你一上來方案就高端大氣上檔次,結果可想而知,反之亦然。有些人用少量的濾波器就能通過EMC測試,有些人用很小的變壓器就能夠輸出很大的功率,有些人能夠獲得極高的效率……….一幕幕著實讓人熱血沸騰。這個時候需要保持清醒的頭腦,你需要考慮自己的經驗是否足夠,產品應用場合是否一致,成本是否可以接受,公司的生產工藝是否達到某些特定的要求,物料采購是否通用、流暢。
方案論證時,需要全面考慮,多問問自己,還有沒有沒想到的地方。特別是小批量的自用產品,你更多的是需要考慮公司庫存、采購環節、后續其它產品應用方面的非技術問題。之所以一直強調應用場合,是因為專業生產電源的公司,不管公司大小出錯的概率較小。而非專門生產電源的公司,初學者很難獲得足夠的技術支持,在各方面的條件還達不到的情況下,盲目跟隨往往得不償失。
開關頻率選擇
較為常見的開關頻率一般是65KHZ、100KHZ、132KHZ,當然也有不少變頻模式的芯片,這里暫不考慮。當然有不少芯片可以自設開關頻率,為了簡化篇幅,也不再涉及。
176~265VAC輸入,12V2A輸出的話。就選擇固定65KHZ的開關頻率吧。
Cin的選擇
Cin的選擇方法見上文分析。176~265VAC輸入,12V2A輸出,選擇22-47uF/400V都是可以的,選擇就選擇47uF。
VDCmin=230VDC(此值是用PI的軟件計算出來的)
需要關注以下三點:
如果是工業場合應用,不要選擇400VDC的耐壓;
HVDC的紋波電壓不要超過70V,176VAC輸入,也就是VDCmin≥180VDC;
Cin同樣需要考慮紋波電流,不過似乎多數人并不考慮。
磁芯選擇
本方案中,磁芯選擇常見的EF25磁芯,為了獲得較低的磁芯溫升,盡量把BAC控制在1000-2000GS之間。
磁芯的選擇是門大學問,有什么KG法、KP法。但我個人的感覺反激變壓器采用這兩種方法并不實用。我建議采用磁芯的Ve或者是重量來計算比較合適,詳見《開關電源設計與優化》,P184、P184的例子,采用EF25磁芯,100KHZ時輸出功率30W。這意味著我們現在65KHZ只能輸出20W(30W*65/100)。盡管頻率固定,但反激變壓器的輸出功率是可以在一個較大的范圍內“波動”,沒有精確值!
那么開關頻率選擇65KHZ時,EF25磁芯的輸出功率能否“波動”到30W以上呢?答案是肯定的。關鍵點在于線徑、KRP、TON的選擇,更不用說更換磁芯材質、采用三重絕緣線。采用較小的磁芯輸出較大的功率,理論的分析很重要,但更重要的是你原意付出辛苦的汗水。對于常規技術指標,建議采用常見的低成本磁芯就可以了,如EE、EI、EF、EER,對于非常規的技術指標,低成本磁芯往往滿足不了某些特別的技術要求,如體積的、漏感的、絕緣耐壓的、高度的、占用面積的,需要靈活選用。
[page]
效率估算
效率的估算很麻煩,需要足夠的經驗來完成。值得慶幸的是,小功率產品,效率這個指標,對變壓器參數的影響并不明顯。如果真的不知道如何估算效率,我建議不管輸出電壓電流為多少,50W以下的產品,最好全部按照85%來計算。盡管不太科學,但是非常實用。
Dmax估算
先給出一些與Dmax相關的現象:
Dmax與VDCmin、溫度密切相關;
Dmax其實就是反射電壓(UOR),決定了MOS管的電壓裕量;
Dmax是最大占空比,但是Dmax與KRP決定了最小占空比(空載時非降頻芯片);
Dmax決定了磁芯損耗;
Dmax取值過大,變壓器原邊可能繞不下;
Dmax取值過小,變壓器次邊可能繞不下;
Dmax可以改變LP、IP、漏感……
反激變壓器的KRP、Dmax需要花大力氣研究,下面開始計算。
已知VDCmax=375VDC,假設MOS管的耐壓限值為600V,電壓裕量流出50V,那么:
600V-50V-375V=175V
175V指的是UOR加上尖峰電壓,如果選擇UOR見本貼的一些方法,如何降低UOR上的尖峰電壓,見論壇中的相關帖子。按照經驗,如果變壓器漏感控制較好,可以獲得50V左右的尖峰電壓,也就是UOR應該≤175V-50V=125V,UOR取100V左右應該是一個較好的值。
當然,如果選擇650V、700V的MOS或者集成控制器,UOR的選擇范圍,會更加靈活。但是較大的Dmax(較高的UOR值),會相對有較大的磁芯損耗。
采用QR模式設計時,一般會選擇較大Dmax,采用650~800V的MOS,這是為了盡可能的降低開關損耗,另外改善空載特性,見相關文獻資料。
本例子中,我們選擇UOR=100VDC,即:

Vdson是MOS管的導通壓降,可以不考慮。
計算過程
臨界模式的計算公式非常簡單,只需要在公式中代入上述參數即可。
已知VDCmin=230VDC,輸出電壓電流12V2A,開關頻率65KHZ(T=15.4us),采用EF25磁芯,BAC控制在1000~2000GS之間,UOR取100VDC,TON=T*Dmax=4.6us,采用臨界模式設計(即KRP=1.00)。

公式還是那個公式,但為什么會是這樣的?
現在都是已知量了,直接V*TON/AE*BAC不就可以得出NP嗎?
需要告訴一些新手,其實不是這樣。計算到了這一步,變壓器的設計就變得非常關鍵。
[page]
NP計算的補充內容:
我們已經知道,初級有效電流為0.26A,如果原邊線徑的電流密度取4~6A/mm²,那么原邊大概需要0.043~0.065mm²的導線,從下表可以選擇合適線徑:

表一國內外漆包線規格
查表得知,對于0.26A的有效電流,取AWG29~AWG31會是比較好的選擇,對應的公制線徑大概是0.25~0.35mm的普通漆包線。

表二EF25磁芯參數

表三EF25骨架參數
從表三中得知,EF25骨架的幅寬大概是15.2mm,計算時我們可以取整數15mm。
已知EF25磁芯的AE=51.8mm²,VDCmin=230VDC,TON=4.6us,那么:
當BAC=1000GS時,NP=204T。
當BAC=2000GS時,NP=102T。
事先沒有核算,貌似匝數有點多誒!其實60~80T應該比較合適,不過沒關系。
也就是如果選擇EF25磁芯,那么我們需要在15mm*2(假設NP設置為兩層)的骨架上繞制100~200T。
根據表一可知,AWG31漆包線大約每厘米可以繞制37.7T(即37.7T/cm),37.7T/cm*1.5cm=56.5T。
去掉6.5T,取整數50T,如果取值過于極限,工廠沒辦法生產(到底去掉幾匝,建議你們聽取供應商的建議,以繞滿為準);
為了計算方便,NP沒有考慮擋墻寬度,不過次級你可以采用三重絕緣線。NP已經“計算”計算出來了,剛好100T,擬采用AWG31漆包線平鋪兩層,每層50T。UOR已知為100VDC,我們可以直接用UO、NP獲得NS。
匝數比=UOR/(12V+0.5V)=8
NS=NP/8=100V/8=12.5T
NS計算值為12.5T,為了繞制方便,我們取NS=12T。
需要強調的是,NS選擇線徑時,同樣需要計算處次級有效電流,根據電流密度取T/cm值。
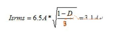
次級峰值電流:ISP=IP*8=0.82A*8=6.5A
次邊有效電流:

次級有效電流為3.1A,如果電流密度取4~6A/mm²,大概需0.5mm²截面積的漆包線。
次級同樣需要剛好滿足平鋪,但次級線徑的可選項有很多,例如次級可以采用多股線繞制。為了計算方便,我們次級同樣采用普通的漆包線,也不要擋墻了。
查表得知,AWG20(0.80mm)漆包線同樣滿足截面積要求,但是AWG20線為11.6T/cm,不滿足平鋪要求。如果采用雙股線,那么一層需要繞制12T*2=24T,查表得知,AWG24漆包線似乎是一個不錯的選擇,16.3T/cm*1.5=24.5T(去掉0.5T,如果繞不下,再降低一個規格即可),雙股AWG24漆包線截面積為0.246*2=0.49mm²,剛好合適。
VCC繞組的計算不多述,在這里給出一個思考題。次級紋波電流是選擇輸出電容的主要依據,如何來計算?
磁芯選了,NP、NS、LP及初次級的電流應力也計算出來了,但是還沒有完成,需要仔細核算電壓應力、磁芯的氣隙。
至此我們對反激變壓器的磁芯進行了選擇,并對一些相關的參數也進行了相應的計算。下面的就要對電壓應力,磁芯的氣隙等參數進行進一步核算,小編將在下一篇文章當中為大家帶來這些參數的計算。





