【導讀】在許多離線交直流LED電源中,單級PFC反激式變換器仍然是優選的拓撲類型。這很大程度上是因為其元件數量少,成本低,并具有約90%的效率和很高的功率因數,在很寬的交流輸入電壓范圍內具有很低的線路電流諧波(iTHD)。雖然工作在230-277V交流輸入范圍的應用對漏-源最大額定電壓的要求高達800V,但只需要一個MOSFET開關。這種變換器中的另外一個關鍵元件是控制芯片。
許多專用的SMPS控制器適合這種應用,它們價格不同,復雜度也不同,可根據要用到的調節類型提供不同的功能選項。為了實現不需要次級端反饋電路和光隔離器的變換器,初級端調節(PSR)是優選的技術。它可以是初級電流調節,也可以是初級電壓調節,在不同情況下可以采用不同的控制方法。
隨著電流負載的增加,單級恒流調節PFC反激變換器需要使用大電容,因為輸出電流中存在過多低頻紋波。在這種情況下,經常選用兩級設計方法,即由具有恒壓調節功能的PFC反激式變換器做為前端,用于克服紋波問題的恒流調節降壓級電路做為后端。
在這種兩級解決方案中,前端PFC反激電路需要通過電壓調節為后端提供一個中間總線電壓,反激電路使用變壓器(更準確地說是耦合電感)的輔助繞組提供用于調節輸出的電壓反饋。使用這種間接感應方法可以在很寬的線路負載范圍內達到±5%的精度,并且不需要任何光隔離器,因此對許多應用來說這種方法很有吸引力。
恒壓PFC反激式變換器
與前向和LLC諧振變換器等SMPS拓撲相比,反激設計采用的元件數量較少,設計復雜度相對比較簡單。其它拓撲也要求兩級方法,一般要求從有源前端升壓功率因數校正級提供穩定的直流總線電壓,這就解釋了為什么這些拓撲只在高端和更高功率等級的場合使用。作為升壓變換器的一種衍生產品,反激變換器實際上是進行間接能量傳遞,即在初級MOSFET導通期間將能量存儲在電感中,當MOSFET開關關斷時再釋放出來。其基本概念如圖1所示,完整的原理圖如圖2所示。在功率因數校正方面,交流線路輸入被饋送到一個橋式整流器,用于為轉換產生非平滑的直流總線電壓。

圖1:包含主要元件的反激式變換器架構的基本概念圖

圖2:元件數最少的單級穩壓反激式交直流變換器設計的完整原理圖
在這個例子中,IRS2982S控制器芯片工作在臨界導通模式(CrCM)。它使用變壓器輔助繞組向芯片提供所需的退磁信號,進而觸發隨后的開關周期。這種特殊的控制器具有最小關斷時間限制,因此在輕負載條件下,它會轉變為非連續導通模式(DCM)。這樣可以限制其最大開關頻率,防止MOSFET、變壓器和緩沖器出現過熱。
當柵極驅動脈寬小于MOSFET高效開關所需的最小限值時,將自動進入突發模式工作。
內部精密基準和跨導型誤差放大器(OTA)用于關閉電壓調節環路,使得補償網絡連接到電路地,從而提供固有的軟啟動功能。
另外,這種控制器芯片采用了一個全集成高壓啟動電池,可以直接從整流后的交流線路向芯片供電,因此系統可以在任何交流輸入電壓條件下快速啟動,并允許LED在不超過半秒的時間內點亮。
耦合電感實現
常被稱為變壓器的耦合電感的設計是影響變換器效率的一個關鍵因素。真正的變壓器會直接傳遞能量,電流將同時流經初級和次級。而在耦合電感中,電流在某個時刻只流經一個繞組,繞組的匝比決定了從次級反映到初級的電壓。
為了優化效率,初級泄漏電感應盡可能低,最好是小于初級總電感量的3%。初級繞組的前一半采用的是“三明治結構的初級繞組”技術,在完成后一半初級繞組之前先繞制次級和輔助繞組,這樣可以盡最大可能減小漏磁。高泄漏電感會在MOSFET漏極產生振鈴振蕩并引起高峰值電壓,這是由于存儲的泄漏能量在初級釋放而不是傳遞到輸出級造成的,進而降低了變換器效率。這將給功率MOSFET和緩沖器網絡帶來一定的壓力。
反激式變換器設計過程
就本例中的變換器而言,耦合電感設計和其它元件值可以根據以下規范進行計算:

表1:反激式變換器的參數
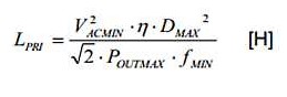
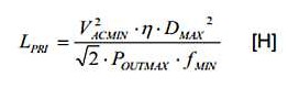
設計公式

設計公式

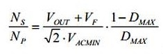
匝比等于:

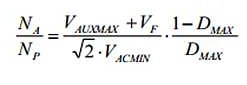
輔助繞組到初級繞組的匝比等于:

輔助繞組到次級繞組的匝比等于:

輸出電容值可以根據允許的峰峰低頻電壓紋波進行計算:

值得注意的是,即使滿足了泄漏電感目標要求,在開關關斷時仍不可避免地會出現一定程度的漏極電壓振鈴,并可能超過額定的MOSFET擊穿電壓。在每個開關周期內重復發生的雪崩能量會縮短MOSFET壽命。為了避免這個問題,通常需要采用鉗位網絡或緩沖器。最常見的低成本解決方案是電阻-電容-二極管(RCD)鉗位電路,其中的電容形成穩定的直流源,電阻用于耗散泄漏能量。
首先,緩沖器電阻值可以根據泄漏電感、峰值電流和理想的緩沖器電壓進行計算:

電阻上的功耗等于:

然后根據下面的公式計算電容值:

這個電容值是根據緩沖器電容上的電壓紋波數量進行計算的。

圖3:利用一個專門用于測試與驗證的電子負載對裝配好的變換器進行測試。
測試結果
圖4-7顯示了詳細的測試結果并對設計性能進行了總結。總之,這是一種經過驗證的、可行的前端PFC反激式變換器設計方法,可以滿足使用兩級驅動的中高電流負載LED的成本要求。 ?




圖4:直流總線和電流感測波形。

圖5:140VAC線路峰值時的MOSFET漏極電壓。

圖6:柵極驅動(黃色),漏極電壓(綠色),電流感測(CS)引腳(藍色斜坡),ZX引腳波形(紅色)。

圖7:開路COMP(綠色)和ZX(紫色)波形。
作者:Peter B. Green,Kali Naraharisetti,英飛凌公司
本文來源于電子技術設計。
推薦閱讀:





