【導讀】利用ADC、PLL和RF收發器的現代信號處理系統設計通常需要更低的功耗和更高的系統性能。為這些噪聲敏感的設備選擇合適的電源始終是系統設計人員的難點。這些設計總是需要在高效率和高性能之間做出取舍。
傳統上,LDO穩壓器通常被用于為那些噪聲敏感的設備供電。LDO穩壓器能夠抑制系統電源中經常出現的低頻噪聲,并且為ADC、PLL或RF收發器提供干凈的電源。但是LDO穩壓器通常效率較低,尤其是在LDO穩壓器必須將高于輸出電壓幾伏的電源軌降壓的那些系統中。在這種情況下,LDO穩壓器通??商峁?0%至50%的效率,而使用開關穩壓器則可實現90%甚至更高的效率。
開關穩壓器雖然比LDO穩壓器效率更高,但它們的噪聲太大,無法在不顯著降低ADC或者PLL的性能的同時,直接為它們供電。開關穩壓器的噪聲源之一是輸出紋波,它可能在ADC的輸出頻譜中表現為明顯的信號音或雜散。為避免降低信噪比(SNR)和無雜散動態范圍(SFDR),最大程度地減少開關穩壓器的輸出紋波和輸出噪聲非常重要。
為了同時保持高效率和高系統性能,通常需要在開關穩壓器的輸出端增加一個次級LC濾波器(L2和C2),以減少紋波和抑制噪聲(如圖1所示)。然而,二級LC輸出濾波器也具有相應的缺點。理想情況下,功率級傳輸函數的建模為四階系統,很不穩定。如果再考慮電流環路1的采樣數據效應,則完整的控制至輸出的傳遞函數為五階系統。另一種替代解決方案是檢測初級LC濾波器(L1和C1)點的輸出電壓來穩定系統。然而,當負載電流很大時,由于次級LC濾波器上的壓降很大,應用這種方法會導致輸出電壓調節性能較差,這在某些應用中令人無法接受。
本文提出了一種新的混合反饋方法,能夠在應用中采用帶有次級LC濾波器的開關穩壓器為ADC、PLL或RF收發器提供高效率、高性能的電源,同時在所有負載條件下提供足夠的穩定性裕量并保持輸出精度。
有些已經發表的關于帶有次級LC輸出濾波器的DC-DC轉換器的研究性文章2-5,具體而言,"帶有低電壓/高電流輸出的二級DC-DC轉換器的控制環路設計" 和 "帶有二級LC輸出濾波器的高帶寬交流電源的多環路控制方案的比較評估" 這兩篇文章討論了二級電壓模式轉換器的建模和控制(該轉換器不能直接應用于電流模式轉換器)。文章"用于電流模式控制轉換器的次級LC濾波器分析和設計技術" 和 "用于多模塊轉換器系統的三環路控制"討論了帶有次級LC濾波器的電流模式轉換器的分析和建模。不過,這兩篇文章都假設次級電感的電感值比初級電感小得多,這在實際應用中并不總是合適。

圖1. 帶有次級LC濾波器的電流模式降壓轉換器的電路圖。
本文的內容提綱如下:
分析了具有次級LC濾波器的降壓轉換器的小信號建模。提出了一個新的五階控制至輸出的傳遞函數,無論外圍電感和電容參數如何,都非常精確。
提出了一種新的混合反饋方法,可在提供足夠的穩定性裕量的同時保持輸出電壓良好的直流精度。首次分析了反饋參數的限值,為實際設計提供了基本依據。
基于功率級小信號模型和新的混合反饋方法,設計了補償網絡。利用奈奎斯特圖評估了閉環傳遞函數的穩定性。
提供了一個基于電源管理產品 ADP5014的簡單設計實例。借助次級LC濾波器,ADP5014在高頻范圍內的輸出噪聲性能甚至優于LDO穩壓器。
附錄I和附錄II分別列出了功率級和反饋網絡所需的小信號傳遞函數。
功率級小信號建模
圖2顯示了對應于圖1的小信號框圖??刂骗h路由內部電流環路和外部電壓環路組成。電流環路中的采樣數據系數He(s)是指RaymondB. Ridley在"用于電流模式控制的新型連續時間模型"中提出的模型。請注意,在圖2所示的簡化小信號框圖中,假設輸入電壓干擾和負載電流干擾為零,因為本文不討論與輸入電壓和負載電流相關的傳遞函數。

圖2. 帶有次級LC濾波器的電流模式降壓轉換器的小信號框圖。
降壓轉換器示例
使用電流模式降壓轉換器所演示的新的小信號模型具有以下參數:

電流環路增益
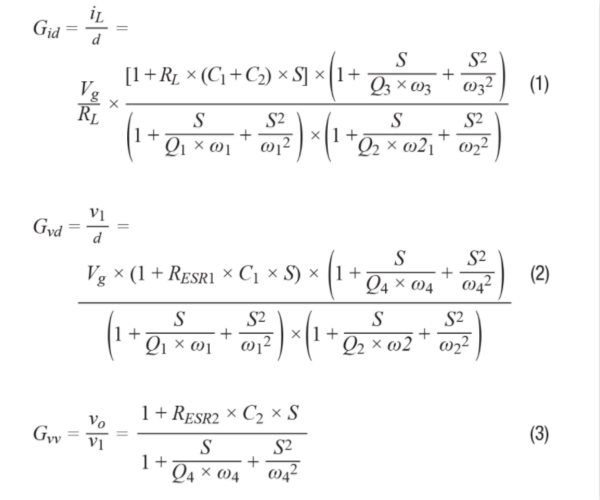
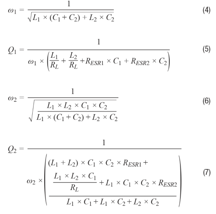
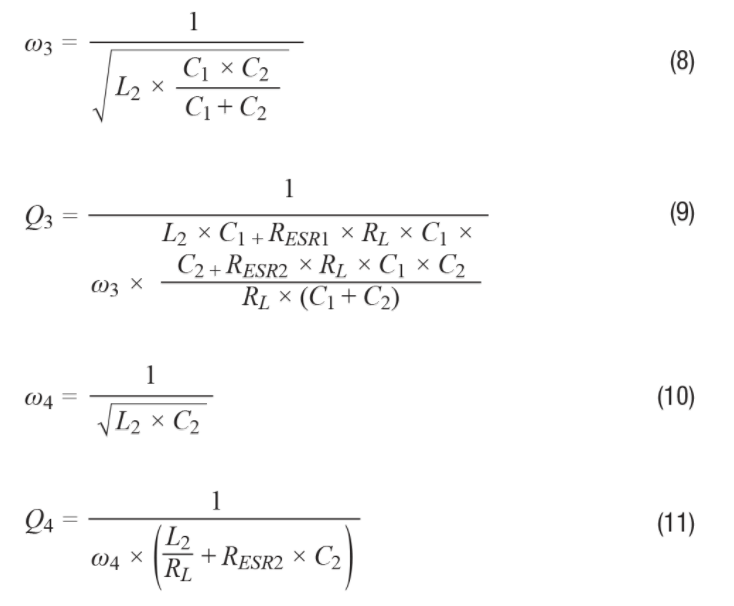
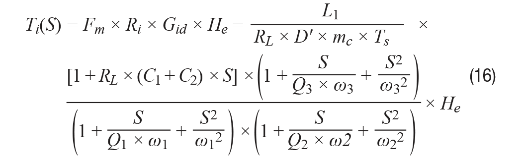
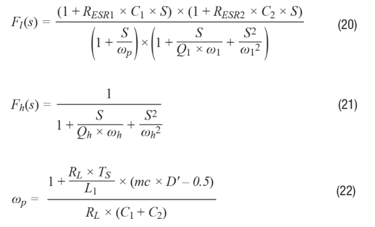
我們關心的第一個傳遞函數是在占空比調制器的輸出點測得的電流環路增益。由此產生的電流環路傳遞函數(見附錄I中的公式16)表現為具有兩對復數共軛極點的四階系統,該系統產生兩個系統諧振頻率(ω1和ω2)。這兩個諧振頻率均由L1、L2、C1和C2決定。 負載電阻RL以及C1和C2產生主零點。一對復數共軛零點(ω3)由L2、C1 和C2決定。此外,電流環路中的采樣數據系數He(s)將在開關頻率的1/2處引入一對復數的右半平面(RHP)零點。
與不帶次級LC濾波器的傳統電流模式降壓轉換器相比,新的電流環路增益增加了一對復數共軛極點和一對復數共軛零點,并且它們彼此的位置非常接近。

圖3. 降壓轉換器電流環路增益。
圖3顯示了具有不同外部斜坡值的電流環路增益圖。對于沒有外部斜率補償(Mc = 1)的情況,可以看出電流環路中的相位裕量非常小,這可能導致次諧波振蕩。通過增加外部斜率補償,增益和相位曲線的形狀不會改變,但增益的幅度將減小,相位裕量將增加。
控制至輸出增益
當電流環路閉合時,會產生一個新的控制至輸出的傳遞函數。由此產生的控制至輸出的傳遞函數(見附錄I中的公式19)表現為具有一個主極點(ωp)和兩對復數共軛極點(ωl和ωh)的五階系統。主極點主要取決于負載電阻RL、C1,和C2。頻率較低的一對共軛極點由L2、C1和C2確定,而頻率較高的一對共軛極點位于開關頻率的1/2處。此外,C1的ESR和C2的ESR分別影響兩個零點。
圖4顯示了具有不同外部斜坡值的控制至輸出的環路增益圖。與傳統的電流模式降壓轉換器相比,在帶有次級LC濾波器的電流模式降壓轉換器的控制至輸出的增益中增加了一對復數共軛極點(ωl)。額外的諧振極點可以提供最大可達180°的額外的相位延遲。相位裕量將急劇下降,即便使用III型補償系統也會很不穩定。此外,圖4清楚地顯示了隨著斜率補償的增加,從電流模式控制到電壓模式控制的轉換。

圖4. 降壓轉換器的控制至輸出的傳遞函數
混合反饋方法
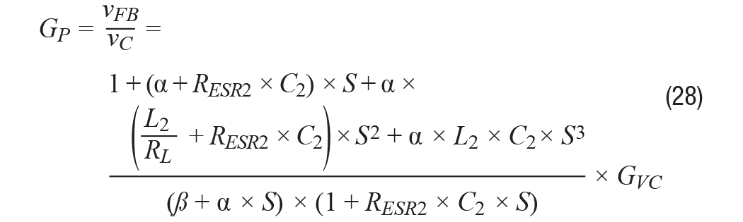
本文將介紹一種新的混合反饋結構,如圖5(a)所示。混合反饋的構思是通過利用來自初級LC濾波器的附加電容反饋來穩定控制環路。從輸出端經過電阻分壓器的外部電壓反饋定義為遠程電壓反饋,而經過電容器CF的內部電壓反饋將在下文中定義為本地電壓反饋。遠程反饋和本地反饋在頻域上承載不同的信息。具體而言,遠程反饋檢測低頻信號以便提供良好的直流輸出調節,而本地反饋檢測高頻信號以便為系統提供良好的交流穩定性。圖5(b)顯示了對應于圖5(a)的簡化小信號框圖。

圖5. 使用所提出的混合反饋方法的電流模式降壓轉換器,圖(a)所示為電路圖,圖(b)所示為小信號模型。
反饋網絡的傳遞函數
由此產生的混合反饋結構的等效傳遞函數(見附錄II中的公式31和公式32)與傳統電阻分壓器反饋的傳遞函數明顯不同。新的混合反饋的傳遞函數零點比極點更多,并且額外的零點將在由L2和C2確定的諧振頻率處產生180°的相位提前。因此,利用混合反饋方法,控制至輸出的傳遞函數中的附加相位延遲將通過反饋傳遞函數中的附加零點進行補償,這可以實現基于整個控制至反饋的傳遞函數的補償設計。
反饋參數的限值
除了功率級中的那些參數之外,反饋傳遞函數中還包含兩個參數。眾所周知,參數β(見附錄II中的公式30)是輸出電壓放大率。而參數α則是一個全新的概念。
可以調整反饋參數α(參見附錄II中的公式29)來理解反饋傳遞函數的行為。圖6顯示了當α減小時反饋傳遞中零點的變化趨勢。該圖清楚地表明,隨著α逐漸減小,一對共軛零點將從左半平面(LHP)向RHP推進。

圖6. 反饋參數α對反饋網絡零點的影響。
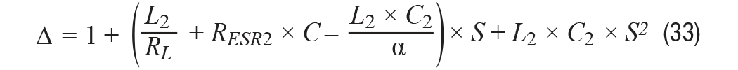
圖7是具有不同α值的反饋傳遞函數的曲線圖。它表明當α減小至10-6時(例如:RA = 10k,CF = 1 nF),反饋網絡的傳遞函數將表現為180°的相位延遲,這意味著復數零點已成為RHP零點。反饋傳遞函數已簡化為新形式(參見附錄II中的公式33)。要將零點保持在LHP中,參數α應始終滿足以下條件:

公式1給出了反饋參數α的最小限值基準。只要滿足這一條件,控制系統就很容易保持穩定。但是,由于RA和CF在負載瞬態跳變期間將作為輸出電壓變化的RC濾波器工作,因此負載瞬態性能將因很大的α值而降低。所以α值不應該太大。在實際設計中,建議參數α比最小限值大20%到30%左右。

圖7. 具有不同參數α的混合反饋網絡的傳遞函數。
環路補償設計
設計補償
控制至反饋的傳遞函數GP(s)可以通過控制至輸出的傳遞函數Gvc(s)和反饋傳遞函數GFB(s)的乘積導出。補償傳遞函數GC(s)設計為具有一個零點和一個極點??刂浦练答伒膫鬟f函數和補償傳遞函數以及閉環傳遞函數TV(s)的漸近波特圖如圖8所示。以下步驟說明了如何設計補償傳遞函數。
確定穿越頻率(fc)。由于帶寬受fz1限制,建議選擇小于fz1的fc
在fc處計算GP(s)的增益,而GC(s)的中頻帶增益應為GP(s)的相反數
將補償零點置于功率級的主極點(fp1)處
將補償極點置于由輸出電容C1的ESR產生的零點(fz2)處。

圖8. 基于所提出的控制至輸出和混合反饋的傳遞函數的環路增益設計。
使用奈奎斯特圖分析穩定性
根據圖8,閉環傳遞函數TV(s)已經三次經過0dB點。奈奎斯特圖用于分析閉環傳遞函數的穩定性,如圖9所示。由于曲線圖遠離(–1,j0),閉環穩定并具有足夠的相位裕量。請注意,奈奎斯特圖中的點A、B和C對應于波特圖中的點A、B和C。

圖9. 閉環傳遞函數的奈奎斯特圖。
設計示例
ADP5014對許多模擬模塊進行了優化,可在低頻范圍內實現更低的輸出噪聲。當VOUT設置為小于VREF電壓時,單位增益電壓基準結構也可使輸出噪聲與輸出電壓設置無關。設計中又增加了一個次級LC濾波器,從而可以衰減高頻范圍的輸出噪聲,特別是對于基波下的開關紋波及其諧波。圖10顯示了設計詳情。

圖10. 由帶有次級LC濾波器的ADP5014供電的RF收發器。
圖11顯示了ADP5014在10 Hz至10 MHz頻率范圍內的噪聲譜密度測量結果,以及10 Hz至1 MHz頻率范圍內的積分有效值噪聲,與之作比較的 ADP1740則是另一款傳統的2A低噪聲LDO穩壓器。ADP5014在高頻范圍內的輸出噪聲性能甚至優于ADP1740。

圖11. ADP5014與ADP1740的輸出噪聲性能比較,圖(a)所示為噪聲譜密度,圖(b)所示為積分有效值噪聲。
結論
本文介紹了用于建模和控制帶有次級LC輸出濾波器的電流模式降壓轉換器的通用分析框架,討論了精確的控制到輸出的傳遞函數,提出了一種新的混合反饋結構,并對反饋參數限值進行了推導。
設計示例表明,帶有次級LC濾波器和混合反饋方法的開關穩壓器可以提供干凈、穩定的電源,性能堪比LDO穩壓器,甚至更好。
本文中的建模和控制主要關注電流模式降壓轉換器,但此處描述的方法也適用于電壓模式降壓轉換器。
附錄I
圖2中的功率級傳遞函數如下。

其中:


其中:L1為初級電感。
C1 為初級電容。
RESR1 為初級電容的等效串聯電阻。
L2 為次級電感。
C2 為次級電容。
RESR2 為次級電容的等效串聯電阻。RL為負載電阻。
電流環路中的增益模塊如下。

其中:

其中:Ri為等效電流檢測電阻
Se 為斜率補償的鋸齒斜坡
Sn 為電流檢測波形的導通時間斜率
Ts 為開關周期
電流環路增益為

其中:
其中:
D 為占空比
根據圖2,增益塊kr的計算如下
控制至輸出的傳遞函數為

其中:


附錄II
在圖5中,本地反饋和遠程反饋傳遞函數為

根據公式1至公式27,控制至反饋傳遞函數的計算如下

其中

其中:RA為反饋電阻分壓器的上部電阻
RB 為反饋電阻分壓器的下部電阻
CF 為本地反饋電容
等效反饋網絡傳遞函數為

近似反饋傳遞函數為
其中:
在典型的低噪聲應用中,通常應用單位增益電壓參考結構,因此參數β將等于1。那么,反饋傳遞函數為
參考電路
1Raymond B. Ridley,“用于電流模式控制的新型連續時間模型”,《IEEE電源電子會刊》,第6卷第2期,1991年。
2Julie Yixuan Zhu 和 Brad Lehman,“帶有低電壓/高電流輸出的二級DC-DC轉換器的控制環路設計.” ”,《IEEE電源電子會刊》,第20卷第1期,2005年。
3Patricio Cortes, David O. Boillat, Hans Ertl, 和 Johann W. Kolar. “帶有二級LC輸出濾波器的高帶寬交流電源的多環路控制方案的比較評估”,IEEE可再生能源研究與應用國際會議,2013年。
4Raymond B. Ridley. “用于電流模式控制轉換器的次級LC濾波器分析和設計技術”,《IEEE電源電子會刊》,第3卷第4期,1988年。
5Byungcho Choi, Bo H. Ch, Fred C. Lee, 和 Raymond B. Ridley. “用于多模轉換器系統的三環路控制”,《電力電子IEEE電源電子會刊》,第8卷第4期,1993年。
推薦閱讀:




