【導讀】每當 CMOS VLSI 設計中的邏輯電路切換狀態時,都會消耗一些電能,因為晶體管電容會充電到定義的邏輯電平。雖然我們希望功耗盡可能小,但微小的功耗也會導致許多邏輯電路在運行時產生巨大的動態功耗。在設計器件時,必須估算芯片在運行過程中以熱量形式耗散的電能。這樣做的目的是確定以下事項:必要的冷卻措施、對散熱器的潛在需求、是否應包括裸露的接地焊盤,或者是否需要通過特殊封裝來確??煽啃浴?/span>
本文重點
通常情況下,我們可以通過人工或使用仿真工具來計算邏輯電路中單個門的功耗。
但是,當多個邏輯電路在運行過程中進行翻轉時,直接計算功耗就比較困難。
如果能夠可靠地估算功耗,就可以在熱仿真中使用此估算值來評估可靠性并確定合適的封裝。
每當 CMOS VLSI 設計中的邏輯電路切換狀態時,都會消耗一些電能,因為晶體管電容會充電到定義的邏輯電平。雖然我們希望功耗盡可能小,但微小的功耗也會導致許多邏輯電路在運行時產生巨大的動態功耗。在設計器件時,必須估算芯片在運行過程中以熱量形式耗散的電能。這樣做的目的是確定以下事項:必要的冷卻措施、對散熱器的潛在需求、是否應包括裸露的接地焊盤,或者是否需要通過特殊封裝來確保可靠性。
集成電路的估算技術涉及在邏輯仿真或電氣仿真中檢查核心邏輯。結合使用這兩種方法,通過估計給定時間間隔內影響總散熱量的邏輯元件總數,粗略估計 CMOS VLSI 產品的功耗。
估算設備的切換活動和功耗
現代集成電路結構復雜,估算 VLSI 設計中的功耗并非易事。這些產品包含多個邏輯塊,其中一些邏輯塊獨立運行,在任意給定時間內可能僅有部分邏輯塊在工作。雖然兩個不同的比特流可能承載相同的輸入功率,但這并不一定意味著在所有情況下都會產生相同的翻轉。邏輯輸入接收到的不同比特流將激發設計中的各種信號變化,從而產生不同的功耗。
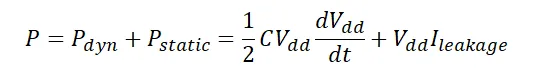
既然功耗在很大程度上取決于集成電路的輸入數據和結構,那么必須使用一些基于邏輯仿真器的概率方法來確定信號切換活動。邏輯元件在切換期間也會產生功耗。邏輯元件功耗的計算公式如下:
基于漏極電壓 (Vdd) 和切換速度的邏輯元件總功耗
這里的 C 代表切換邏輯電路中充電/放電的總電容。電壓項指的是 PDN 提供的漏極電壓(標稱值)。漏電電流通常被忽略,盡管它在熱仿真中至關重要(見下文)。需要注意的是,這是無功功率:以熱量形式耗散的電能取決于結中的導通電阻,可以使用構成邏輯元件的晶體管的精確 SPICE 模型來進行仿真。
雖然速度不是最快的,但可以比較全面的確定平均信號變化的方法是使用蒙特卡洛仿真并對結果進行統計分析。在掌握平均翻轉(例如,每個時鐘周期消耗電能的邏輯元件的平均數量)后,可以將這個值乘以每個邏輯元件的預期功耗,從而獲得總功耗。由于邏輯元件具有內部電阻,其中一小部分將以熱量的形式耗散。
在擁有數十億個晶體管的現代微處理器中,這會產生大量熱量,因此設計人員需要進行仿真評估。
如何利用功耗估算值
在獲得動態切換的功耗估算值后,就可以使用該值進行電路仿真或器件熱仿真,檢查封裝和電路板特性如何影響從器件到周圍的電路板、空氣和任何散熱器的熱傳遞。這些封裝級仿真有助于初步的可靠性評估,并可能促使設計人員在做原型設計之前進行一些更改。
考慮到這種情況一般發生在 VLSI 設計階段,因此通常無法準確體現設計封裝。但是,這依然為設計團隊提供了一個機會,他們可以評估不同類型的封裝,預測在各種條件下可能出現的平衡的溫度。這類可靠性仿真通常使用場求解器來完成,有時是涉及空氣流動的多物理場問題,有時是利用熱方程計算的簡單溫度仿真。
根據預期的信號變化評估功耗后,便可進行封裝仿真。設計人員可以創建最壞情況場景,估算散熱和溫升,進而評估產品的可靠性。
對于芯片設計師來說,因為需要提前評估封裝,所以必須在原型設計之前進行這些仿真。就像封裝底部的熱焊盤一樣,一些簡單的封裝元件可能會對工作溫度產生很大的影響。通過使用更有效的系統分析軟件,設計團隊可以在簡化的工作流程中執行這些關鍵任務,將它們作為芯片設計和可靠性評估的一部分。
在 VLSI 設計中,一個重要的考慮因素是設備在高溫下運行時的漏電電流。如果設計不當,核心邏輯中的高速翻轉可能會導致設備溫度升高,直到漏電電流占據設備中以熱量形式耗散的大部分電能。這種升溫可能會導致熱失控,最終使芯片燒毀并失效。考慮到這個因素會影響設備中相應的絕對最高溫度,在仿真中需要檢查它所帶來的可靠性問題。
借助 Cadence 的全套系統分析工具,使用信號切換來估量設備的功耗變得更加簡單。VLSI 設計師可以評估其產品的可靠性,并根據需要實施獨特的封裝選項,以應對設計中的功耗和溫升問題。Cadence Celsius EC Solver 技術旨在幫助電子系統設計師快速準確地解決當今最具挑戰性的熱/電子產品散熱管理問題。Celsius EC Solver 可以分析復雜電子系統的流體流動和傳熱。該軟件使用專有的多層次非結構化(MLUS)網格劃分技術來解決對流、傳導和輻射問題,可以分析電子組件、外殼和電力電子中的氣流、溫度和傳熱,求解自然對流、強制對流、太陽能加熱和液體冷卻問題。
文章來源:Cadence楷登PCB及封裝資源中心
免責聲明:本文為轉載文章,轉載此文目的在于傳遞更多信息,版權歸原作者所有。本文所用視頻、圖片、文字如涉及作品版權問題,請聯系小編進行處理。
推薦閱讀:



