- 選擇光傳感器的考慮因素
- 光傳感器在汽車中的應用
- 傳感器可能提供非常小的封裝
- 光傳感器在提供更舒適的顯示質量
由于汽車應用已變得日益復雜,而且越來越多地采用電子驅動,因此,將更多創新技術及專用技術應用在這個領域也就不足為奇了。在汽車環境中我們能夠越來越多看到的一種獨特解決方案便是遍及整個汽車內部環境的環境光傳感器的普及應用。本文將討論環境光感應的原理以及在汽車環境中采用這種器件的優勢。
選擇光傳感器的考慮因素
通常有幾種方法能夠對光進行檢測,例如通過使用光電晶體管、光敏電阻或光電二極管來實現,但對于當今應用的總的光感要求而言,基于IC的單片光電二極管是最好的選擇之一。光電二極管是用于探測光并生成電流的半導體,它基于單晶硅片構造而成,與用于生產集成電路的晶體硅片類似。一個典型的傳感器應用框架圖包括一個光電二極管、一個電流放大器和一個無源低通濾波器,以檢測并處理光輸入引起的輸出電壓信號。能夠將所有這些器件集成并采用小型封裝對于終端用戶而言是非常有益的,而且這恰恰就是當前的市場需求。
為應用選擇適當光傳感器時的另一個重要方面,是要理解對于應用而言,哪項重要規格是最為關鍵的,最需要關注哪一項。一般來說,在選擇一個光傳感器時,需要著重考慮的因素如下:
光譜響應/IR抑制:環境光傳感器應該僅對400nm至700nm的范圍有感應。
Lux的最大范圍:直射陽光可以多達130,000Lux,但是大多數應用要求最大范圍為僅為10,000Lux。
低Lux光敏度:根據光傳感器位于頂端的鏡片的類別,光衰減可以為25-50%。如果低光敏度非常關鍵(<5Lux),必須注意選擇可以在這個范圍內工作的光傳感器。
集成的信號調節(即放大器和ADC):一些傳感器可能提供非常小的封裝,但是卻需要一個外部放大器或無源元件來獲取所需的輸出信號。具有更高集成性的光傳感器省去了對于外部元件(ADC、放大器、電阻器、電容器等)的需求。
功耗:對于要承受高Lux級(>10,000Lux)的光傳感器來說,最好采用一個非線性光到模擬輸出光傳感器,或一個光到數字輸出的光傳感器。接下來還將對此進行詳細說明。
封裝大小:對于大多數應用來說,封裝都是越小越好。現在可提供的封裝為2.0mm×2.1mm光學DFN,而1.3mm×1.5mm4-lead封裝則是下一代封裝。
一旦確定了上述重要規格,需要考慮的下一個問題就是哪類輸出信號最有助于目標應用。對于大多數光傳感器,最常見的輸出為線性輸出電流。雖然這適用于一些應用,但現在有更多的可選項,其中包括線性電壓輸出、數字輸出(通過I2C接口)或者非線性電流或電壓輸出。每種都具有它們的優勢,如下所列。
線性模擬輸出——電流或電壓輸出:更常見的感應器輸出,快速響應時間(數字輸出受限于積分時間),在控制器中集成ADC轉換器,電壓輸出省去了對于外加電阻(將電流轉換為電壓)的需要并提供一個低阻抗輸出。電流輸出需要在輸出添加無源元件來將電流轉換為電壓、設置傳感器的增益范圍并根據需要增加低通或高通濾波器。
[page]
非線性模擬輸出——電流或電壓輸出:允許極弱光敏感度和最大動態范圍(高達100,000Lux),感測光與人類察覺光的方式更加類似(非線性與線性),電壓或電流非線性輸出的選擇,電壓輸出為低阻抗而電流輸出為高阻抗。
數字輸出:輸出可以直接與控制器相連接(無需ADC),數字輸出本身比模擬輸出更具有噪聲免疫性,允許傳感器具有更多的數字功能(即更加智能的光傳感器),更易于在通用I2C總線上的網絡工作,更易于允許將多個光傳感器置于同一個I2C總線上(地址選擇引腳),恒定功耗(模擬輸出電路損耗與入射光密度成正比)。
為更好地理解這些傳感器的構造,讓我們更加仔細地觀察模擬和數字輸出傳感器的架構。首先討論的傳感器是Intersil公司的EL7900線性輸出電流感應器。
EL7900集成了PIN型光電二極管與電流鏡增益級功能,用于一個線性度運行高達10,000Lux的光傳感器。動態范圍與敏感度可以通過輸出上的一個負載阻抗(接地)很容易地進行調節。選擇一個更低阻值的電阻器將提供更寬的動態范圍,但是卻需要以弱光敏感度為代價。另一方面,選擇一個更高阻值的電阻器會提供增強的弱光敏感度,但卻要以犧牲動態范圍為代價。因此,這種選擇完全取決于終端用戶的應用以及他們是需要更低的光敏度還是更大的動態范圍。
為更好地理解采用一個光-數字光傳感器的益處和性能,下面將討論Intersil公司的ISL29003和ISL29004,如圖1所示。
圖中可以清晰地看到通過采用一個更為復雜的數字輸出光傳感器可幫助實現的功能。首先,這個器件(ISL29003)仍適用于非常緊湊的2mm×2.1mm光學DFN封裝(ISL29004,帶有兩個用于地址選擇的附加引腳,適用3mm×3mm8-LD光學DFN封裝)。除了具有集成了一個16位ADC和采有一個數字I2C輸出的優勢外,ISL29003也支持增益選擇(通過I2C軟件)和積分時間控制。
增益選擇功能非常實用,例如,如果需要極高的光敏度,那么可以很簡單的通過I2C發送一個命令來將增益設置到增益1,從而提供前所未有的每Lux65次計數(每Lux65次或每0.1Lux6.5次)。如果動態范圍更加重要,則可以將增益選項變更為4,那么傳感器的動態范圍就可以達到64,000Lux。這個特點以及中斷引腳(報警引腳)就是環境光傳感器的主要優點,能夠為終端用戶提供很大的優勢。
光敏件的選擇完全取決于終端客戶,但是數字光傳感器的方法正不斷獲得好評,這是因為其具有性能和靈活性的優勢(特別是對于汽車應用而言),它們需要采用I2C數字輸出信號(更低的噪聲,可以在相同的總線上網絡覆蓋數個傳感器,對于敏感特性進行更好的控制,并實現更好的總體傳感性能)。
在選擇適當的光傳感器時的另一個考慮因素是選擇一個帶有理想光譜響應的傳感器。普通PIN光電二極管(無源或者有源)本身具有非常寬的光譜響應范圍,包括IR射線乃至UV射線。
從理論上來說,用戶需要選擇一個僅能感應可見光(380nm至770nm)并削弱無用的IR信號的光傳感器,如下圖深青色線所表示的(ISL29003光譜響應)
這些要求如何在一個實際的應用中實現呢?讓我們看一看環境光傳感器是如何在一個自動的白光LED背光控制電路中工作的,在汽車背光應用中通常可以看到這種控制電路。

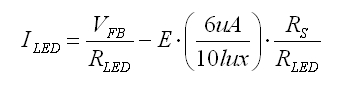
在該電路中(圖2),LED由白光LED驅動器(EL7630)所傳送的恒定電流來驅動。隨著環境光的增加,EL7900光傳感器將更多的電流注入到白光LED驅動器的反饋端;在明亮的環境里,光傳感器注入更多電流到反饋端,因此,它減少了白光LED的輸出電流和輸出光密度。環境光密度和白光LED輸出電流的關系圖如下所示:

光傳感器的輸出電流由Iout=E(6uA/10Lux)來表示。
[page]
光傳感器在汽車中的應用
上文已經談論了光傳感器的基礎,下面將探討采用光敏感傳感器的市場及應用。從便攜式消費類市場(智能電話、PDA、臺式計、便攜式音樂播放器等等)到消費類電視機市場(TFT-LCD、等離子、尾部投影、CRT等等),再到醫療、工業及汽車市場,光傳感器可謂無所不在。
在汽車環境中,主要的應用如下:車載娛樂/導航/DVD系統背光控制,以便在所有的環境光條件下都可以顯示出理想的背光亮度;后座娛樂用顯示器背光控制;儀表組背光控制(速度計/轉速計);自動后視鏡亮度控制(通常要求兩個傳感器,一個是前向的,一個是后向的);自動前大燈和雨水感應控制(專用,根據需求進行變化);后視相機控制(專用,根據需求進行變化)。
光傳感器在提供更舒適的顯示質量方面已經成為最有效的解決方案之一,它具有與人眼相似的特性,這對于汽車應用而言至關重要,因為這些應用要求在所有環境光條件下都能達到完全的背光效果。例如,在白天,用戶需要最大的亮度來實現最佳的可見度,但是這種亮度在對于夜間條件而言則是過亮的,因此帶有良好光譜響應(良好的IR衰減)的光傳感器、適當的動態范圍和整體的良好輸出信號調節可以很容易地自動完成這些應用。現在終端用戶可以設置幾個閾值水平(如低、中、亮光),或能夠隨意地動態地改變傳感器的背光亮度。
這也適用于汽車后視鏡亮度控制,當鏡子變暗和/或變亮時需要智能的亮度管理,可以通過環境光傳感器來完成。
對于便攜式應用,如果用戶不改變系統設置(通常是亮度控制),那么一個顯示器總是消耗同樣多的能量。在室外等特別亮的區域,用戶傾向于提高顯示器的亮度,這就會增加系統的功耗。而當條件變化時,如進入建筑物,大多數用戶都不會去改變設置,因此系統功耗仍然保持很高。但是,通過使用一個光傳感器,系統能夠自動檢測條件變化并調節設置,以保證顯示器處于最佳的亮度,進而降低總功耗。在一般的消費類應用中,這也能夠延長電池壽命。對于移動電話、筆計本電腦、PAD和數碼相機,通過采用環境光傳感器反饋,可以自動進行亮度控制,從而延長了電池壽命。
感應環境光并不是一個新的構想。在數十年前就已經利用光電二極管和光敏電阻來實現這一構想。所謂新構想,是指對環境光感應的同時還能消減無用的紅外線和紫外線光,而且在支持汽車規格AECQ-1000嚴格要求的同時還可以實現小封裝,尤其是能夠保證在-40度至+105度(2級)溫度范圍內的操作,以滿足其余的規格要求。如何保持工作質量標準并滿足AECQ-1000的2級工作要求,這是當今在所有光設計解決方案中所面臨的挑戰。
采用一個光傳感器或LED發射器或接收器時,任何的光學解決方案都會面臨著暴露在恒定高溫下(>+85度)而出現的封裝變色問題(會變暗或變成淡黃)。同樣值得一提的是,到目前為止,所有環境光傳感器的應用都限于車艙內,在發動機艙或戶外環境中還沒有出現光傳感器應用。事實上,即使出現了這樣的應用,光封裝也不是針對這樣的苛刻條件(+125或+150度的條件)而設計,因此,在當前的光學封裝技術下,它們很可能還不能夠承受這樣的條件。但如果汽車市場確定了在汽車發動機艙內對于光傳感器的需求,相信光傳感器廠商定會想出辦法加以支持。
半導體相似傳感器和封裝開發的最新進展使得終端用戶在光傳感器上具有了更廣泛的選擇。小封裝、低功耗、高集成和簡單易用性是設計者更多地采用光傳感器的原因,其應用范圍涉及消費類電子、工業應用以及汽車領域。


