【導讀】定位是感知應用的一個重要屬性。在室內環境中,如果位置信息可用并非常可靠,有更多的應用場景可以實現的。行人航位推算(PDR) 就是這樣一種技術,在室內環境中可提供行人航位信息并提高定位可靠性。
慣性傳感器、磁力計和壓力傳感器是航位推算應用中必不可少的傳感器組件,用之可大幅提升導航性能,這些器件的功耗必須極低,這樣才能始終保持開啟模式并提供數據用于航位推算應用。實現隨時隨地定位的目標離不開高品質的MEMS傳感器和高性能的行人航位推算算法。本文主要討論各種行人航位推算算法上需要用到的傳感器組件的數學表述,以及可用性和可靠性更高的PDR行人航位推算算法的測試結果。
定位技術概述
全球導航衛星系統(GNSS)接收器已成為室外導航解決方案的常用電子元器件,今天幾乎每一臺智能手機內部都有一個這樣的衛星接收器芯片,可實現各種與位置相關的移動服務,其中包括導航、興趣點搜索和地圖。用戶開始期待他們的設備在所有環境中都能提供位置信息,但是他們通常忽略衛星信號是不能穿透商廈和候機樓的墻壁和屋頂這個事實。建筑材料會使全球導航衛星系統信號衰減變弱,即使高靈敏度接收器也無法在室內收到定位信息。
目前業內正在開發不同的行人航位推算解決方案,大都采用無線發射器充當信標,利用三角測量法計算接收器的位置。這些解決方案利用室內環境中的Wi-Fi接入點(AP)定位。類似的解決方案還包括使用藍牙發射器、GSM和其它手機發射器或專用信標,例如Nextnavfor室內定位設備。這些技術整合運用服務器等基礎設施傳送的輔助GPS/GLONASS數據、星歷擴展數據和Wi-Fi接入點(AP)位置數據。此外,還有一種使用MEMS傳感器(加速度計、磁力計、陀螺儀和高度計)計算位置數據的室內導航技術。今天幾乎所有的智能手機、平板電腦、數碼相機、健身產品等便攜消費電子產品都配有MEMS傳感器。這些傳感器配合行人航位推算(PDR) 技術能夠確定用戶位置。每項室內定位技術都有其長處和短板。
數據整合
按照定位精度和功耗要求,微控制器整合處理各類信息源送來的信息,然后將具有不確定性的單一位置值提供給應用。使用信任參數、相關參數和過去測量數據推算每個位置,權衡Wi-Fi、藍牙、行人航位推算和全球導航衛星系統等多個技術送來的信息,數據整合算法在其中發揮著關鍵作用。在室外,全球導航衛星系統接收器送來的位置信息精度良好,不確定性低。當控制器使用的測量數據是來自用戶附近的Wi-Fi接入點時,位置計算信號強度高,Wi-Fi系統送來的位置估測數據精度也就比較高(相關不確定性低)。不過,Wi-Fi接入點數據庫(包含Wi-Fi接入點位置數據及其不確定性數據)的品質也會影響定位精度。
PDR行人航位推算不依賴任何外力協助,無需任何外部基礎設施配合,就能產生精確的相對位置定位信息。因此,其特點與絕對定位技術優勢互補,例如,全球導航衛星系統或基于Wi-Fi的導航系統。因此,PDR行人航位推算適用于混合系統,可以在室內環境確定用戶位置,定位的精確度、可用性和可靠性更高。
行人航位推算
移動設備中的MEMS傳感器因受到數據漂移和噪聲的影響,會引起基于積分運算方法的傳統慣性導航系統出現難以處理的位移和姿態誤差。在行人航位推算應用中,傳統積分運算導航方法效果不理想,因為與人體運動相關的復雜動力學很難建模,將其用于運算有不小的難度。在過去十年中,業內主要開發出兩種很有前景的室內環境行人導航方法,一種在參考文獻[1]論述的基于零速率更新的INS-EKF-ZUPT (IEZ)慣導方法,另一種是包括步伐檢測、步長估算和航向算法的基于人類步行動力學的慣導方法。基于零速率更新的(ZUPT)的方法基于一個假設和一個物理現象,即假設慣性傳感器是安裝在腳上,且每邁出一步后都是暫時靜止狀態。本文主要討論通用性更強的方法。
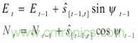
從通用導航方程式[2]可以推出行人航位推算過程的數學表述。在進行兩次積分運算后,平臺加速度變成了北東坐標系的位置,可以寫為:

方程式1
其中,(t)是位移,(t)是航向。在行人步伐間隔期間,假設速度和航向是常量。考慮到折線法,方程式1可改寫成:

方程式2
方程式2表述航位推算(DR)算法,該方法是基于步數計算,而不是加速度和角速率的積分運算。方程式2的航位推算過程有三個要素:1)在t-1 (Et-1, Nt-1)時最后一次已知的用戶絕對位置(用東北坐標系表示);2)從t-1到t()的步長;3)從時間t-1開始的航向 (ψ) 可以算出新位置相對已知位置(Et-1, Nt-1)的坐標(Et, Nt),如方程式2所示。
我們仔細觀察方程式2不難發現,行人航位推算精度取決于兩個要素:1)行走距離的計算,2)用戶航向(或方向)在行人航位推算原理中,行走距離的計算方法是檢測估算行人每行走一步的步長,然后累計步長估算值。精確地估算全球用戶的步長是一項具有挑戰性的任務。目前業內開發出了多個步長精確估算模型,見參考文獻[3][4]。
圖1所示是含有各種組件的行人航位推算系統框圖。慣性傳感器數據通過校準監視邏輯處理,以保持對加速度計和陀螺儀測量偏差和標度系數的精確估算。磁強計數據通過校準監視模塊處理,以決定是硬鐵參數還是軟鐵參數。磁力計數據監視的另一個目的是確定測量數據有無磁性干擾數據,防止磁干擾影響校準參數。

圖1.行人航位推算框圖
步伐檢測算法利用模式匹配法與人類步態模型特征匹配。加速度模式隨著設備攜帶位置(褲子口袋、腰帶包、襯衫口袋)不同而變化。載物位置確定模塊用于確定設備常用存放位置,例如,手里拿著擺臂走路;舉在頭部附近,放在褲子口袋、襯衫口袋、腰帶包、雙肩背包里。
用戶航向是行人航位推算方程式的第二個術語,包括設備航向和用戶行走方向。計算設備航向需要使用經過傾斜修正的羅盤測量值。不過,因為外部磁擾會影響羅盤的性能,完全依賴羅盤的測量值不現實,這是我們采用一個數據整合濾波器又稱姿態濾波器,整合磁力計、陀螺儀和加速度計數據的主要原因。姿態濾波器可以計算設備在人體坐標系相對大地參考坐標系的方向。因為這個數學表達式比較緊湊,所以設備方向用四元數表示,與Euler角度或 9 X 9 方向矩陣相比,四元數更具有數字穩定性。姿態濾波器基于擴展卡爾曼濾波器(EKF)概念,以解決外部磁場強度不斷變化和用戶在常用情況下導致的設備動態運動對航向的影響。因為航向對總體定位精度的影響巨大,所以必須認真考慮傳感器隨機噪聲、偏差、偏差不穩定性、非線性以及其它的可能降低系統性能的因素。
低噪聲磁力計的重要性
在3-D空間正常旋轉設備時,傳感器各軸受地磁場強矢量影響,我們使用此時采集到的測量數據計算磁強計校準參數(硬鐵和軟鐵)。偏移估算精度與磁強計數據中的噪聲信號直接關聯。如果磁力計的噪聲非常高,偏移估算精度將會變差,最終將會影響航向估算結果。偏移估算誤差對高緯度地區定準更加重要,因為高緯度地區磁場水平場強較弱。即便在水平場強中等地區,1 µT偏移誤差可以引起5度的航向誤差,這對于行人航位推算應用是一個不小的誤差。
行走角度確定
姿態濾波器用于計算設備在身體坐標系內的航向。不過,設備可能隨意置于用戶身體某一位置,姿態濾波器航向與用戶航向或行走方向并不一致,如圖2所示。

圖2.行走方向
行走角度α的計算運用了行人運動的身體特征以及加速度波形的周期特征和統計學。
測試結果
我們采用加速度計和陀螺儀模塊(LSM6DSM)、磁強計(LSM303AGR)和壓力傳感器(LPS22HB)和STM32微控制器開發出一個行人航位推算解決方案,這個由傳感器、微控制器和藍牙組成的硬件參考設計叫做SensorTile™ (詳情訪問www.ST.com),可以利用一個安卓應用在手機上實時顯示行人航位推算軌跡輸出。六軸傳感器LSM6DSM(加速度計 + 陀螺儀)正常工作模式下功耗小于400 µA。在這個傳感器模塊內,陀螺儀的角速率噪聲密度為3.8 mdps /√Hz。加速度計噪聲密度為90 µg /√Hz。磁力計的RMS噪聲為3 mGauss,采用AMR技術,無溫度漂移問題,在高分辨率模式下,工作電流小于200 µA。壓力傳感器RMS噪聲為0.0075 hPA,溫度漂移0.1 hPa。
上文描述的傳感器的噪聲特性和偏移穩定性,配合穩健可靠的高性能行人航位推算算法,可以實現隨時隨地定位的目標。
下圖3所示是某些常用場景行走測試軌跡。

圖3.行人航位推算在常用場合行走測試結果





